Rapport d'enquête ferroviaire R09W0016

Dommages au matériel roulant
(non suivis d'un déraillement ou d'une collision)
du train de marchandises numéro M-30451-11
exploité par le Canadien National
au point milliaire 238,30 de la subdivision Redditt
à Dugald (Manitoba)

Le Bureau de la sécurité des transports du Canada (BST) a enquêté sur cet événement dans le but de promouvoir la sécurité des transports. Le Bureau n’est pas habilité à attribuer ni à déterminer les responsabilités civiles ou pénales. Le présent rapport n’est pas créé pour être utilisé dans le contexte d’une procédure judiciaire, disciplinaire ou autre. Voir Propriété et utilisation du contenu.

Table des matières

    Résumé

    Le 14 janvier 2009 vers 3 h 30, heure normale du Centre, alors que le train de marchandises numéro M-30451-11 exploité par le Canadien National roule vers l'est à 4 mi/h, un freinage d'urgence se déclenche et provoque l'arrêt du train au point milliaire 238,30 de la subdivision Redditt près de Dugald (Manitoba). Une inspection subséquente révèle que le train s'est séparé après que la longrine tronquée du bout A du wagon citerne de marchandises dangereuses UTLX 37605, chargé d'environ 51 500 livres de propylène (ONU 1075), s'est rompue et détachée du wagon. Il n'y a eu ni déversement de produit ni déraillement. La voie n'a pas été endommagée et personne n'a été blessé.

    This report is also available in English.

    © Ministre des Travaux publics et des Services gouvernementaux 2010
    No de cat. TU3-6/09-0016F
    ISBN 978-1-100-95380-9

    1.0 Renseignements de base

    Le 14 janvier 2009 à 2 h 3Note de bas de page 1, le train de marchandises no M-30451-11 (le train) du Canadien National (CN)Note de bas de page 2 part de Winnipeg (Manitoba) à destination de Toronto (Ontario). Le train compte 3 locomotives et 72 wagons (65 wagons chargés et 7 wagons vides). Il mesure 4825 pieds et pèse 8971 tonnes. L'équipe de train se compose d'un chef de train et d'un mécanicien.

    Vers 3 h 30, le train roule vers l'est et se prépare à croiser le train no Q-10131-12 du CN. Alors que le train accélère lentement jusqu'à une vitesse de 4 mi/h, un serrage intempestif des freins d'urgence provenant de la conduite générale se déclenche et provoque l'arrêt du train au point milliaire 238,30 de la subdivision Redditt près de Dugald (Manitoba) (voir la figure 1).

    Figure 1. Lieu de l'événement (Source : Atlas des chemins de fer canadiens de l'Association des chemins de fer du Canada)
    Image
    Figure 1. Lieu de l'événement (Source : Atlas des chemins de fer canadiens de l'Association des chemins de fer du Canada)

    Au moment de l'événement, le ciel était dégagé, il faisait -29 °C, et le vent soufflait du nord-ouest à 6 km/h.

    1.1 Examen des lieux

    Après l'arrêt du train, l'équipe a appliqué les procédures d'urgence et elle a constaté que le train s'était séparé et qu'il y avait une distance de 50 pieds environ entre le 41e et le 42e wagon. La longrine tronquée du bout A du 41e wagon (le wagon-citerne de marchandises dangereuses UTLX 37605) qui était chargé de quelque 51 500 livres de propylène (ONU 1075) s'était rompue et sectionnée juste derrière les sabots d'arrêt arrière de l'appareil de choc et de traction (voir la photo 1). La partie sectionnée de la longrine tronquée (encore composée de l'appareil de choc et de traction, de l'étrier d'attelage et de l'attelage) s'était détachée du 41e wagon et était restée fixée au bout est du 42e wagon (le wagon-citerne de marchandises dangereuses DLPX 19016) qui était chargé de peroxyde d'hydrogène (ONU 2015). La longrine tronquée présentait un renflement important dans la zone des butées de traction.

    Photo 1. Wagon UTLX 37605 sans la longrine tronquée du bout A
    Image
    Photo 1. Wagon UTLX 37605 sans la longrine tronquée du bout A

    Le wagon UTLX 37605 a été sécurisé et isolé sur un embranchement en attendant que le produit soit transféré. La longrine tronquée rompue a été envoyée au Laboratoire technique du BST pour analyse.

    1.2 Particularités de la voie

    En direction ouest, la subdivision Redditt va de Sioux Lookout en Ontario (point milliaire 0,0) à Winnipeg au Manitoba (point milliaire 251,53). Du point milliaire 237,19 au point milliaire 238,47, la voie est en alignement droit et est orientée dans l'axe est-ouest, et une voie d'évitement de 6510 pieds de longueur est adjacente à la voie principale, au sud de cette dernière. La déclivité de la voie est négligeable. La voie était en bon état. Le mouvement des trains est régi par le système de commande centralisée de la circulation (CCC) en vertu du Règlement d'exploitation ferroviaire du Canada (REF), et il est supervisé par un contrôleur de la circulation ferroviaire du CN posté à Toronto (Ontario). La voie principale de la subdivision est une voie de catégorie 4 selon le Règlement sur la sécurité de la voie (RSV), et la vitesse maximale autorisée est de 50 mi/h pour les trains de marchandises. Environ 15 trains de marchandises par jour empruntent cette voie, ce qui représente un tonnage annuel d'environ 34 millions de tonnes brutes.

    1.3 Mouvements et réparations du wagon UTLX 37605 (avant son entrée au Canada)

    Le 22 septembre 2008, le wagon-citerne UTLX 37605 a été chargé de propylène à Whiting, en Indiana, aux États-Unis. Le wagon a été ramassé et acheminé par la Norfolk Southern Railroad (NS). Il a été échangé avec le réseau de la Union Pacific Railroad (UP) qui l'a ensuite livré à Grelake, au Texas, le 10 octobre 2008. Après avoir déchargé le wagon, on l'a libéré en tant que wagon de « résidus »Note de bas de page 3 le 27 octobre 2008, et on l'a acheminé à Whiting, en Indiana. Le 3 novembre 2008, le wagon a été échangé au réseau de la NS à Mitchell, en Illinois. Le wagon a ensuite été réacheminé et échangé de la NS à la UP, à Proviso, en Illinois, le 8 novembre 2008.

    Le 19 novembre 2008, lors d'une vérification d'échange à Proviso, le wagon UTLX 37605 a été déclaré défectueux par les inspecteurs de la UP en raison d'une fissure dans la longrine tronquée du bout A. Le 24 novembre 2008, une soudure a été faite pour réparer temporairement la longrine tronquée. La réparation n'a pas été exécutée dans une installation de réparation certifiée pour wagons-citernes. La UP a placé une étiquette de rapatriement pour réparations (HOME SHOP FOR REPAIR) à l'intérieur du porte-étiquette d'acheminement, indiquant que la longrine tronquée avait fait l'objet de réparations temporaires, qu'il était interdit de faire passer le wagon à la butte de triageNote de bas de page 4 et que le wagon devait être placé à la queue du train. Le propriétaire du wagon, la Union Tank Car Company (UTLX), a autorisé la UP à acheminer le wagon jusqu'à une installation de réparation certifiée. On a établi une feuille de route pour le wagon qui devait être acheminé vers les installations de Procor, à Sarnia (Ontario) au Canada. L'inscription « HOME SHOP FOR REPAIR DO NOT LOAD » (RAPATRIEMENT POUR RÉPARATIONS, NE PAS CHARGER) n'a pas été marquée sur le wagon.

    Le 18 décembre 2008, la UP a remis le wagon UTLX 37605 au CN, à Proviso, en Illinois. Le lendemain, le wagon a été intégré au train no M-39091-19 qui était en partance. Le bulletin de composition du train et les notes de la feuille de route du wagon indiquaient que le wagon UTLX 37605 devait être placé en queue du train vu qu'on devait le rapatrier pour faire réparer la fissure de la longrine tronquée du bout A. Ces instructions sont restées avec le wagon aux États-Unis, conformément à la feuille de route originale. Le wagon a été placé en queue de train sur deux trains ultérieurs du CN avant qu'il n'arrive au Canada. Pendant ce temps, l'acheminement du wagon s'est déroulé conformément à la réglementation de la Federal Railroad Administration (FRA) des États-Unis.

    1.4 Mouvements et réparations du wagon UTLX 37605 (au Canada)

    Tous les mouvements subséquents du wagon au Canada ont été assurés par le CN. Le train no M-38461-25 est arrivé à Sarnia le 26 décembre 2008 avec le wagon UTLX 37605 en queue de train. Après avoir déplacé un bloc de wagons en tête du train et après avoir changé d'équipe, le train est reparti. Par la suite, le bloc de wagons qui comprenait le wagon UTLX 37605 a été laissé à London (Ontario), puis il a été ramassé par le train no A-43431-26 et acheminé au triage MacMillan du CN, à Toronto (Ontario). Alors que l'étiquette de rapatriement pour réparations (HOME SHOP FOR REPAIR) était toujours à l'intérieur du porte-étiquette d'acheminement, aucune instruction disant de ne pas passer le wagon à la butte de triage n'a été associée électroniquement au wagon UTLX 37605, à quelque moment que ce soit, par les systèmes du CN.

    Quand il est arrivé au triage MacMillan, le wagon UTLX 37605 a fait l'objet d'une vérification de sécurité conformément au Règlement concernant l'inspection et la sécurité des wagons de marchandises de Transports Canada (TC). Le 27 décembre 2008, le wagon UTLX 37605 a été déclaré défectueux par les inspecteurs du CN en raison d'une fissure dans la longrine tronquée du bout A. Entre le 27 décembre 2008 et le 2 janvier 2009, le wagon UTLX 37605 a fait l'objet de manœuvres de triage à sept reprises et a été passé à la butte de triage à quatre reprises avant d'être placé sur la voie de réparation (E012).

    Le 3 janvier 2009, le service de la mécanique du CN a fait une soudure pour réparer temporairement la longrine tronquée du wagon avant d'acheminer le wagon à une installation de réparation certifiée pour wagons-citernes où la longrine tronquée devait être réparée. Les soudeurs qui ont effectué le travail n'étaient pas qualifiés pour faire des soudures dans la zone où les réparations ont été faites, et le triage MacMillan n'est pas une installation de réparation certifiée pour wagons-citernes. Des soudures de sept pouces ont été faites de chaque côté de la longrine tronquée du bout A du wagon. Après avoir complété la réparation temporaire, le service de la mécanique a demandé à UTLX de l'informer des mesures à prendre pour disposer du wagon, et il a reçu des instructions disant de l'acheminer chez Procor, à Sarnia, conformément à ce qui était indiqué sur la feuille de route originale. L'inscription HOME SHOP FOR REPAIR DO NOT LOAD (RAPATRIEMENT POUR RÉPARATIONS, NE PAS CHARGER) n'a pas été marquée sur le wagon, et aucune étiquette d'avarie n'a été apposée sur le wagon. Le CN n'a pas demandé à la Direction générale du transport des marchandises dangereuses (TMD) de TC de délivrer une préclusionNote de bas de page 5 sur le déplacement du wagon, parce qu'il considérait que le wagon pouvait rouler sans danger jusqu'à Sarnia puisque ni la paroi de la citerne ni les accessoires n'étaient endommagés.

    Entre le 5 et le 6 janvier 2009, le wagon UTLX 37605 a fait l'objet de manœuvres de triage à deux reprises et a été passé à la butte de triage deux autres fois. Durant les opérations de triage à butte, quand le wagon a été pesé, le personnel du Centre des services à la clientèle du CN à Winnipeg a constaté que le wagon contenait encore 51 500 livres de produit. Le 6 janvier 2009, le personnel a modifié le statut de chargement du wagon pour indiquer qu'il s'agissait non pas d'un wagon de résidus, mais bien d'un wagon chargé. À cette occasion, la destination figurant sur la feuille de route a été modifiée par inadvertance pour indiquer que le wagon était destiné non pas au triage MacMillan mais au triage Symington du CN à Winnipeg.

    Le wagon UTLX 37605 a fait l'objet de manœuvres de triage à deux autres reprises avant d'être intégré au train no M-31331-08 à destination de Winnipeg. Le 8 janvier 2009, le wagon est parti de Toronto en queue de train avec une note sur le bulletin de composition et sur la feuille de route précisant que la longrine tronquée du bout A du wagon était fissurée et avait été réparée temporairement. Le train est arrivé au triage Symington, à Winnipeg, le 10 janvier 2009. Au triage Symington, le wagon a fait l'objet d'une vérification de sécurité qui n'a révélé aucune défectuosité. Entre le 11 et le 13 janvier 2009, le wagon UTLX 37605 a fait l'objet de manœuvres de triage à deux reprises et a été passé à la butte de triage encore une fois, avant que la destination de la feuille de route soit modifiée pour y indiquer les installations de Procor, à Sarnia. Après que le wagon a été réacheminé vers Sarnia, les notes de la feuille de route et du bulletin de composition qui précisaient que le wagon devait être placé en queue de train ont disparu du système informatisé d'établissement des feuilles de route du CN qui fait partie du système Service Reliability Strategy (système SRS). Le 14 janvier 2009, le wagon a été intégré au train no M-30451-11 comme 41e wagon, et le train a quitté le triage Symington à 2 h 3. L'incident s'est produit une heure et demie plus tard.

    Après l'incident du 14 janvier 2009, le CN a demandé à la Direction générale du TMD de délivrer une préclusion concernant le déplacement du wagon-citerne UTLX 37605. Le 21 janvier 2009, le CN a obtenu une préclusion limitant les mouvements du wagon. Avant l'incident du 14 janvier 2009 à Dugald, aucune autre préclusion n'avait été demandée pour ce wagon pendant son séjour au Canada. Par la suite, le wagon a été acheminé au triage Symington et a été isolé sur une voie de garage.

    En février 2009, le CN a fait une tentative de transfert du produit restant. Lors de cette tentative, il est devenu évident qu'il serait impossible de transférer le produit contenu dans le wagon et qu'il fallait brûler le produit à la torche. Le brûlage a débuté le matin du 22 juin 2009 et a pris fin dans l'après-midi du 25 juin 2009. Le wagon-citerne de résidus endommagé UTLX 37605 a ensuite été chargé sur un wagon plat et acheminé aux installations de Procor, à Sarnia, pour y faire l'objet d'une vérification.

    1.5 Systèmes informatisés d'information du Canadien National

    Le système SRS est le système informatisé d'établissement des feuilles de route du CN qui lui permet de gérer toutes les facettes des mouvements et du suivi des wagons. À partir de plusieurs codes d'état ou de défaut, le système SRS fournit de l'information concernant la disposition et l'acheminement des wagons. Lors de l'événement, le système SRS était configuré pour enregistrer jusqu'à sept codes alphabétiques différents à deux positions (p. ex. HQ).

    Pour acheminer un wagon d'un endroit à un autre, on remplit une feuille de route indiquant l'endroit où le wagon doit se rendre (destination) et son point d'origine (provenance). Pendant qu'il était au triage MacMillan, le wagon UTLX 37605 a été étiqueté à la fois comme étant « à destination » et « en provenance » du triage MacMillan et, par conséquent, il a été inscrit à plusieurs reprises sur un plan de manœuvre. Le wagon a été pesé à chacun de ses passages à la butte de triage, de sorte qu'on savait qu'il contenait environ 51 500 livres de produit. Tout wagon qui est désigné comme étant vide ou comme étant un wagon de résidus et dont le contenu est supérieur à 35 000 livres, est étiqueté par le système SRS au moyen d'un code HQ et accompagné de la mention « Hold for Desk Review » (À retenir pour examen sur dossier). Au Centre des services à la clientèle, le personnel fait des recherches dans tous les triages du réseau pour trouver le code HQ. Dès qu'il a identifié un wagon qui a le code HQ, le personnel prend des mesures pour disposer du wagon, ce qui signifie parfois qu'il doit ajouter des codes additionnels à la feuille de route. Dans le système de codage du SRS, les codes d'acheminement sont classés par ordre de priorité. Toutefois, un problème de programmation au moment de l'événement a fait que les codes qui occupaient la 6e position ont été remplacés par inadvertance, sans égard à leur niveau de priorité, au moment de l'ajout de codes additionnels. Dès qu'on atteignait la limite de sept codes, le code nouvellement ajouté supplantait le code de la 6e position.

    Le service de la mécanique du CN se sert d'une plate-forme SAP pour assurer la tenue de dossiers et la surveillance électronique des wagons, plutôt que de placer une étiquette d'avarie sur les côtés des wagons. Quand un wagon est déclaré défectueux, il est étiqueté électroniquement dans le système SRS et le système SAP du service de la mécanique. Dès que le wagon est réparé, l'état d'avarie est supprimé dans les deux systèmes, et le wagon est remis en service. Quand des réparations temporaires sont effectuées pour permettre le rapatriement d'un wagon pour réparations, l'état d'avarie est annulé pour permettre au wagon d'être acheminé à destination. Bien que le personnel mécanique du CN puisse ajouter les instructions « Do not Hump » (Ne doit pas passer à la butte) dans le système, dans la plupart des cas, ces dispositions sont prises par téléphone par l'intermédiaire du Centre des services à la clientèle ou du personnel local qui s'occupe du chargement des wagons. Le personnel mécanique du CN n'a pas appliqué les instructions « Do not Hump » (Ne doit pas passer à la butte) au wagon-citerne UTLX 37605, parce que ce wagon, parti de Toronto, devait se rendre à Sarnia et qu'il n'était pas censé se rendre jusqu'à Winnipeg.

    1.6 Déchargement des wagons-citernes pressurisés

    L'assemblage du trou d'homme du wagon comprenait le trou d'homme et le couvercle, deux robinets de phase liquide, un robinet de sortie de vapeur, un évent de sécurité, un puits thermométrique, un dispositif de jaugeage et la tubulure de vidange en forme de U. Les tubulures de vidange s'ajustent dans la partie inférieure des clapets de retenue qui sont soudés à la partie inférieure des robinets de phase liquide. Les tubulures de vidange sont fixées aux gaines des clapets de retenue au moyen de soudures d'angle de 3/16 de pouce (voir la figure 2). Les soudures assurent l'étanchéité mais ne sont pas censées assurer la solidité de la structure. L'assemblage est placé sur le wagon de façon que la tubulure de vidange s'ajuste à l'intérieur de deux guides qui sont soudés à l'intérieur du fond de la paroi de la citerne. Les guides empêchent la tubulure de se déplacer dans le sens longitudinal. L'assemblage au complet est fixé au wagon par des boulons placés sur la partie supérieure de la paroi de la citerne.

    Figure 2. Disposition de la tubulure de vidange
    Image
    Figure 2. Disposition de la tubulure de vidange

    Pour décharger un wagon-citerne pressurisé, on applique souvent une légère surpression d'air ou de gaz inerte (de 5 à 10 lb/po2 au-dessus de la pression du produit contenu dans le wagon) par le robinet de sortie de vapeur. La pression force le produit à passer par une ouverture située à la partie inférieure de la tubulure de vidange et à remonter et ressortir par les robinets de phase liquide des bouts A et B du wagon, qui font face au bout A et au bout B du wagon, respectivement.

    Si la tubulure de vidange perd son intégrité, l'air ou le gaz inerte peut prendre la place du produit dans le robinet, et réduire ainsi la quantité de produit qui peut passer par le robinet. Il peut arriver alors que le déchargement prenne beaucoup plus de temps que prévu. Si la pression de déchargement s'égalise ou si le système subit une perte complète d'intégrité, le produit n'est plus forcé de passer par la tubulure de vidange, et le déchargement s'arrête.

    Lors de cet événement, le destinataire de Grelake, au Texas, ne disposait pas d'une balance, de sorte que les wagons n'ont pas été pesés avant et après le déchargement. La compagnie planifie l'arrivée des wagons chargés et le départ des wagons vides en fonction de durées préétablies. Après la période habituellement prévue pour le déchargement, on a supposé que le wagon-citerne UTLX 37605 était déchargé et on l'a libéré comme étant un wagon de résidus.

    1.7 Vérification du wagon-citerne UTLX 37605

    Le 7 octobre 2009, le wagon-citerne UTLX 37605 a fait l'objet d'une vérification aux installations pour wagons-citernes de la Procor, à Sarnia. Quand on a retiré le trou d'homme, on a constaté que la tubulure de vidange qui devait être reliée aux clapets de retenue (voir la photo 2) était absente.

    Photo 2. Trou d'homme du wagon UTLX 37605 (en haut) et trou d'homme similaire complet (en bas)
    Image
    Photo 2. Trou d'homme du wagon UTLX 37605 (en haut) et trou d'homme similaire complet (en bas)

    La vérification a révélé :

    • que les soudures étanches qui fixaient la tubulure de vidange aux clapets de retenue du bout A et du bout B avaient cédé;
    • que les guides de tubulure avaient quitté leur position et que la tubulure de vidange reposait au fond du wagon;
    • que le guide du bout A était plié à l'horizontale au fond de la citerne et qu'une des soudures qui retenaient le guide du bout A était brisée. Les surfaces de fracture étaient très oxydées, ce qui suggère qu'elles étaient dans cet état depuis un certain temps;
    • que le guide du bout B était intact, mais qu'il était plié légèrement et décalé par rapport à sa position normale;
    • que des rainures correspondantes ont été observées sur le rebord de la gaine du robinet de phase liquide du bout B et sur la tubulure du bout B.

    1.8 Manuel sur l'échange de wagons (Field Manual of the Interchange Rules) de l'Association of American Railroads

    Pour faciliter l'acheminement des produits, les chemins de fer d'Amérique du Nord s'échangent librement les wagons de marchandises, pourvu que les wagons respectent les exigences minimales qui figurent dans le manuel sur l'échange de wagons ( Field Manual of the Interchange Rules ) de l'Association of American Railroads (AAR). Quand on procède à l'échange d'un wagon, le personnel du service de la mécanique du chemin de fer d'accueil peut effectuer une vérification sanctionnée par l'AAR avant d'accepter le wagon. Au moment de l'échange, tout wagon présentant un défaut défini par l'AAR peut être exclu du processus d'échange ou être déclaré défectueux et rapatrié pour réparations.

    Les règles de l'AAR qui s'appliquent à l'échange de wagons dont on sait qu'ils présentent un ou des défauts définis par l'AAR sont les suivantes :

    • Règle 80 — [Traduction] Quand on applique au pochoir ou à l'aide d'une décalcomanie l'inscription « HOME SHOP FOR REPAIRS DO NOT LOAD » (RAPATRIEMENT POUR RÉPARATIONS, NE PAS CHARGER), l'inscription doit être écrite en lettres d'au moins 2 pouces de hauteur de chaque côté du wagon, près du numéro du wagon.
    • Règle 81 — [Traduction] Pour les wagons-citernes qui n'ont pas de longrine centrale pleine longueur (modèle à longrine tronquée), il est interdit de faire des soudures pour réparer des fissures dans le métal de base des éléments de structure de la longrine tronquée ou de faire des soudures entre la longrine et la paroi inférieure de la traverse pivot de la citerne, si une partie ou l'autre des fissures se trouve à 12 pouces ou moins du point d'attache entre la longrine tronquée et la plaque de renfort de la citerne, à moins que les soudures ne soient effectuées par des soudeurs qualifiés et en conformité avec les spécifications de l'AAR concernant les wagons-citernes, et par une installation pour wagons-citernes certifiée M-1002/M1003 par l'AAR.
    • Règle 92 — [Traduction] Les wagons auxquels on fait des réparations temporaires pour éviter d'avoir à transférer le chargement doivent être rapatriés vers un atelier spécifié par le propriétaire du wagon, et on doit appliquer au pochoir ou à l'aide d'une décalcomanie l'inscription « HOME SHOP FOR REPAIRS DO NOT LOAD » (RAPATRIEMENT POUR RÉPARATIONS, NE PAS CHARGER) écrite en lettres d'au moins 2 pouces de hauteur de chaque côté du wagon, près du numéro du wagon.
    • Règle 108 — [Traduction] On ne devrait faire que les réparations partielles ou temporaires qui sont nécessaires pour que le wagon puisse rouler sans danger jusqu'à sa destination. Comme l'indique la règle 80, il faut appliquer au pochoir ou à l'aide d'une décalcomanie l'inscription « HOME SHOP FOR REPAIRS DO NOT LOAD » (RAPATRIEMENT POUR RÉPARATIONS, NE PAS CHARGER) écrite en lettres d'au moins 2 pouces de hauteur de chaque côté du wagon, près du numéro du wagon. De plus, des étiquettes d'avarie ou de rapatriement pour réparations indiquant « HOME FOR REPAIRS — RULE 108 — DO NOT LOAD » (RAPATRIEMENT POUR RÉPARATIONS — RÈGLE 108 — NE PAS CHARGER) doivent être apposées de chaque côté du wagon, près du numéro du wagon.

    1.9 Règlement concernant l'inspection et la sécurité des wagons de marchandises

    Le Règlement concernant l'inspection et la sécurité des wagons de marchandises prescrit les normes de sécurité minimales qui s'appliquent aux wagons utilisés par les compagnies ferroviaires relevant de TC. Le paragraphe 3 de la Partie I — Généralités, définit une « étiquette d'avarie » ou « étiquette de rapatriement pour réparations » comme étant un « imprimé apposé par une compagnie ferroviaire sur un wagon pour indiquer la maintenance à effectuer et les défectuosités relatives à la sécurité qui ont été révélées par une vérification de sécurité ». Le paragraphe donne également les définitions suivantes :

    • système d'information sur les avaries : toute méthode, informatique ou autre, par laquelle une compagnie ferroviaire peut surveiller et protéger la circulation d'un véhicule présentant des défectuosités sans utiliser d'étiquette d'avarie ou de rapatriement pour réparations;
    • vérification de sécurité : examen d'un wagon à l'arrêt effectué par un inspecteur accrédité de matériel remorqué ou par un responsable pour vérifier que le véhicule peut être remorqué en toute sécurité dans un convoi et pour détecter les défectuosités qui peuvent nuire à son déplacement ou nécessitent des réparations; ces défectuosités sont énoncées dans la Partie II des présentes règles.

    Le paragraphe 4 de la Partie I stipule notamment que « les compagnies ferroviaires doivent s'assurer que les wagons qu'elles mettent ou maintiennent en service sont exempts de toutes les défectuosités relatives à la sécurité décrites dans la Partie II du règlement » . Toutefois, « il est permis d'acheminer jusqu'à un autre endroit, pour le faire réparer, un wagon présentant une défectuosité relative à la sécurité, et même, s'il est chargé, de le placer en vue de son déchargement, pourvu qu'un responsable l'autorise et s'assure que […] le wagon peut être acheminé sans danger [et que] tous les moyens nécessaires sont mis en œuvre pour protéger le mouvement du wagon, comme indiquer à l'intention des employés concernés la nature des défectuosités et les restrictions éventuellement applicables au mouvement ». Le paragraphe précise aussi que « le mouvement d'un wagon présentant des défectuosités relatives à la sécurité sera contrôlé et protégé par un système d'information sur les avaries ou au moyen d'une étiquette d'avarie ou de rapatriement pour réparations. »

    Le paragraphe 15 c) de la Partie II du règlement stipule entre autres que « les compagnies ferroviaires ne doivent pas mettre ni maintenir en service un wagon […] si la longrine centrale d'un wagon-citerne présente :

    • une rupture;
    • une fissure dans le métal de base;
    • une soudure transversale manquante ou fissurée sur plus de 3 po (76,3 mm);
    • une soudure longitudinale fissurée sur plus de 6 po (152,40 mm) ou manquante; ou
    • une soudure fissurée ou manquante, lorsqu'on ne peut en mesurer la longueur totale ».

    Il n'est pas obligatoire de signaler à TC les cas de fissuration ou de rupture de longrine tronquée.

    1.10 Loi sur le transport des marchandises dangereuses et règlements

    La Loi sur le transport des marchandises dangereuses (Règlement sur le TMD) n'impose aucune norme de construction applicable aux wagons-citernes. Les règlements de la loi renvoie aux exigences de l'Office des normes générales du Canada qui figurent dans la norme nationale du Canada CAN/CGSB-43.147— 2005 intitulée « Construction, modification, qualification, entretien, sélection et utilisation des contenants pour la manutention, la demande de transport ou le transport des marchandises dangereuses par chemin de fer » .

    Dans le cas présent, le contenant était le wagon-citerne UTLX 37605. Conformément au Règlement sur le TMD, les wagons-citernes qui sont en service au Canada doivent satisfaire à la norme CAN/CGSB-43.147 - 2005. Une longrine tronquée qui présente une fissure ou une rupture ne satisfait pas à la norme.

    Aux termes du Règlement sur le TMD :

    • Il n'est pas obligatoire de signaler les longrines tronquées qui présentent une fissure ou une rupture.
    • Il n'est pas obligatoire d'indiquer « HOME SHOP FOR REPAIR DO NOT LOAD » (RAPATRIEMENT POUR RÉPARATIONS, NE PAS CHARGER) sur les wagons-citernes pourvus d'une longrine tronquée endommagée.
    • Le paragraphe 3.5 (4) du Règlement sur le TMD stipule notamment que : « si la quantité de marchandises dangereuses dans un contenant est inférieure à 10 pour cent de la quantité maximale de remplissage du contenant, la description peut être « Résidu — dernier contenu », ou « Residue — Last Contained ».

    1.11 Renseignements sur les longrines tronquées

    Sur les wagons-citernes, les longrines tronquées sont boulonnées ou soudées à chaque bout de la paroi de la citerne du wagon. Les longrines tronquées contiennent les composants de l'appareil de choc et de traction et deviennent le point où se concentrent les efforts de traction et de compression et les forces dynamiques exercées sur le train, ainsi que les efforts verticaux qui s'exercent sur les attelages. Les longrines tronquées des wagons-citernes doivent satisfaire à des critères de conception particuliers. Elles doivent respecter les normes minimales de l'AAR qui figurent dans le document AAR M1001, C-II, Chapitre 6, mais autrement elles sont spécifiques à chaque constructeur de wagons, et les détails de leur aménagement peuvent varier.

    Au début des années 1990, les organismes de réglementation des États-Unis et du Canada se sont inquiétés de la fréquence de plus en plus grande des fractures et des défaillances associées aux longrines tronquées. Suite à ces préoccupations, on a délivré un certain nombre d'ordres au Canada et d'ordres d'urgence (Emergency Orders) aux États-Unis, qui exigeaient qu'une partie importante du parc de matériel roulant d'Amérique du Nord fasse l'objet de vérifications de sécurité obligatoires. On a demandé à l'AAR de proposer une solution au problème de concert avec ses partenaires de l'industrie. Pour remédier à la situation, l'industrie a mis en œuvre un certain nombre d'initiatives qui exigent que les longrines tronquées de tous les wagons-citernes fassent l'objet d'une vérification de sécurité une fois tous les 10 ans à la recherche de fissures. Différentes méthodes de contrôle non destructif peuvent être utilisées pour la vérification des longrines tronquées, notamment le contrôle visuel, le contrôle par ressuage, le contrôle magnétoscopique par voie humide fluorescente, ainsi que le contrôle par ultrasons. La grande majorité de ces contrôles sont faits visuellement, et ils sont complétés par d'autres méthodes de contrôle non destructif uniquement si un défaut est détecté. Après chaque vérification de sécurité de longrine tronquée, on doit remplir un formulaire AAR SS3. Les réparations faites aux longrines tronquées doivent être consignées sur le formulaire AAR R-2. Les deux formulaires sont transmis à l'AAR.

    1.12 Renseignements sur le wagon-citerne UTLX 37605

    Le wagon UTLX 37605 a été construit par la Union Tank Car Company (UTLX) qui en était la propriétaire. Ce wagon-citerne pressurisé a été construit en décembre 1970 conformément à la spécification DOT 112A400W. Il s'agit d'un wagon-citerne pressurisé, non isolé, fait d'acier ordinaire et muni d'attelages à garde inférieure et supérieure. Les wagons de ce type sont conçus pour le transport de gaz comprimé liquéfié et peuvent également servir pour le transport d'autres liquides. Le chiffre 400 de la spécification correspond à la pression d'essai de la citerne, exprimée en livres par pouce carré. Ultérieurement, la spécification du wagon a été remplacée par la spécification DOT 112J400W, après qu'on a ajouté un isolant et une enveloppe ignifuges. Le wagon portait une inscription indiquant qu'il contenait du propylène non odorisé. Le wagon était pourvu de longrines tronquées de modèle UTLZBN. La dernière inspection visuelle de la longrine tronquée effectuée par UTLX, conformément aux exigences de l'AAR, remonte au 1er mars 2004 et n'avait pas révélé la présence de fissures.

    Les têtes de citerne et la paroi de la citerne étaient faites d'acier TC-128 de nuance B, approuvé par l'AAR. La paroi de la citerne mesurait 0,728 pouce d'épaisseur. Les têtes étaient faites d'un matériau de 0,750 pouce d'épaisseur. Le wagon avait une limite de poids brut sur rail de 263 000 livres. Il avait une tare de 108 500 livres et une charge utile de 154 500 livres (128 272 litres) de produit. Les données historiques du détecteur de défauts de roues (détecteur WILD) fournies par UTLX pour ce wagon indiquent que le wagon vide pesait habituellement 110 000 livres et que son poids brut sur rail en charge était habituellement de 240 000 livres. Depuis mai 2008, le wagon avait fait au moins deux parcours avec des chargements partiels correspondant à un poids brut sur rail d'environ 160 000 livres, ce qui signifie qu'il restait environ 51 500 livres de produit dans le wagon.

    En septembre 2004, le wagon UTLX 37605 a été impliqué dans un petit déraillement où le bout B du wagon a quitté la voie. Les dossiers de facturation de la compagnie de chemin de fer indiquent que le bout B du wagon a été levé et que les roulements des essieux montés numéro 1 et numéro 2 ont fait l'objet d'une vérification. Des dommages à l'enveloppe de la citerne correspondant à un levage du bout B ont été observés lors de l'inspection faite par le BST après l'incident. Aucun autre rapport n'a été fait sur d'autres dommages ou réparations au bout A du wagon.

    1.13 Longrines tronquées de modèle UTLZBN

    Les longrines tronquées de modèle UTLZBN ont été conçues par UTLX et sont faites d'acier A-572 non normalisé de nuance 50. Elles sont constituées de deux poutrelles en forme de Z, pesant chacune 41 livres par pied, soudées ensemble à leur sommet dans le sens longitudinal. L'ensemble est soudé à une plaque qui est soudée à la paroi de la citerne. Au milieu des années 1990, l'AAR a modifié les critères de conception des longrines tronquées pour tenir compte des changements apportés aux opérations ferroviaires et de l'utilisation de plus en plus généralisée de wagons ayant un poids brut sur rail d'une capacité de 286 000 livres. Par la suite, UTLX a remplacé le modèle UTLZBN par un modèle plus robuste de longrine tronquée.

    Le nouveau modèle incorporait deux poutrelles, en forme de Z faites d'acier A-572 de nuance 50, pesant chacune 51 livres par pied, en acier normalisé ou à refroidissement contrôlé. Les longrines tronquées faites de ce matériau sont désignées comme étant du modèle UTLZBG. Les exigences relatives à ces longrines sont énoncées dans le manuel des normes et pratiques recommandées de l'AAR pour les wagons-citernes intitulé AAR Manual of Standards and Recommended Practices, Section C, S-259 (appelé S-286). Jusqu'ici, aucune défaillance catastrophique de longrine tronquée de modèle UTLZBG n'a été signalée.

    Le parc de wagons-citernes d'Amérique du Nord compte environ 325 000 wagons équipés de 65 modèles différents de longrines tronquées. Environ 41 000 de ces wagons-citernes (13 %) sont pourvus de longrines tronquées de modèle UTLZBN; environ 35 000 de ces wagons sont affectés au transport de marchandises dangereuses.

    1.14 Effet des forces exercées sur les trains

    Pendant tout le temps où les longrines tronquées de modèle UTLZBN ont été construites, les trains affectés au service en voie principale avaient une longueur moyenne d'environ 5000 pieds et un poids moyen de 6000 à 7000 tonnes. Par contre, de nos jours, certains trains mesurent plus de 12 000 pieds et pèsent plus de 10 000 tonnes, ce qui donne lieu à des augmentations des efforts normaux de traction et de compression, particulièrement dans le cas des trains conventionnels tirés par des groupes de traction placés en tête de train. Ces efforts et forces accrus sont répartis sur toute la longueur du train, et, dans certains cas, elles peuvent causer des dommages au matériel roulant, des séparations de train et/ou des déraillements. En conséquence, le BST a déterminé que « la conduite de trains plus longs et plus lourds » constituait un problème de sécurité, et il a ajouté ce problème à sa liste de surveillance en mars 2010.

    1.15 Autres défaillances de longrines tronquées

    Le 23 juin 2008, une longrine tronquée s'est détachée du wagon-citerne UTLX 37671 durant des opérations ferroviaires normales du CN, à Wabamun (Alberta). Conformément aux procédures normales de facturation de l'AAR, le CN a communiqué avec UTLX pour prendre des dispositions concernant le wagon. À l'issue de discussions entre le CN et le personnel d'UTLX chargé de la facturation auprès de l'AAR, il a été décidé de mettre le wagon à la casse, et aucune mention de la défaillance de la longrine tronquée n'a été faite. Le personnel d'ingénierie du parc ferroviaire d'UTLX n'a été consulté à aucun moment à ce sujet.

    Le 19 mai 2009, le wagon-citerne UTLX 27545, chargé de chlore (ONU 1017) se trouvait à une usine de produits chimiques de Bécancour (Québec) pour y être déchargé, quand le destinataire a signalé que la longrine tronquée du bout B du wagon était rompue. Le wagon avait été construit en 1983 conformément à la spécification105J500W et il était pourvu d'une longrine tronquée de modèle UTLZBN. La dernière inspection de la longrine tronquée de ce wagon remontait à 2006. La longrine tronquée rompue a été envoyée pour analyse au Laboratoire technique du BST.

    Un examen des données sur les défaillances de longrines tronquées de wagons-citernes recueillies auprès du CN et d'UTLX a révélé ce qui suit :

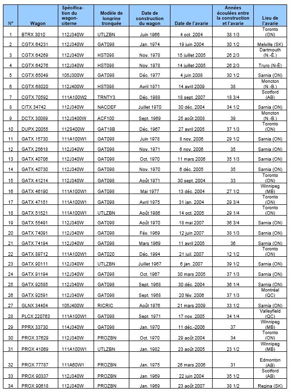
    • Au Canada et aux États-Unis, entre janvier 2004 et juin 2009, on a signalé 35 cas où la longrine tronquée s'était rompue et détachée d'un wagon-citerne UTLX. Toutes ces longrines tronquées étaient de modèle UTLZBN. Dans 23 des 35 cas, on a relevé des indices suggérant des forces d'impact plus élevées qu'à l'habitude (voir l'annexe A — Cas de rupture de longrine tronquée signalés par UTLX — de janvier 2004 à juin 2009).
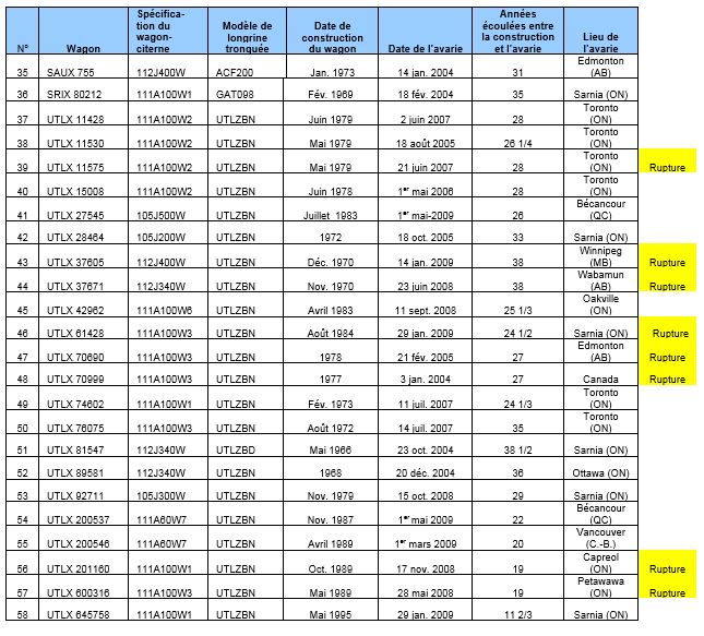
    • Au Canada, entre janvier 2004 et juin 2009, 58 wagons-citernes ont été déclarés défectueux en raison de longrines tronquées fissurées (50) ou rompues (8). Les défaillances de longrines tronquées concernaient différentes catégories de wagons-citernes servant au transport de produits divers (voir l'annexe B — Cas de fissuration et de rupture de longrine tronquée signalés au Canada par UTLX et le CN — de janvier 2004 à juin 2009).
      • Sur les 58 longrines tronquées ayant connu une défaillance, 25 (43 %) sont de modèle UTLZBN.
      • Sur les 25 longrines tronquées de modèle UTLZBN, 17 se sont fissurées et 8 ont subi une défaillance catastrophique. Au total, 22 de ces longrines tronquées étaient en service depuis au moins 20 ans.
      • Sur les 8 défaillances catastrophiques, 6 sont survenues dans la période de 13 mois qui s'est écoulée entre mai 2008 et mai 2009. Dans plusieurs cas, les défaillances n'ont pas été signalées à la Direction générale du TMD de TC, et il n'était pas obligatoire de signaler ces défaillances.

    1.16 Examen fait par le Laboratoire technique du BST

    Le Laboratoire technique du BST a fait une analyse des longrines tronquées des wagons-citernes UTLX 27545 et UTLX 37605 ayant connu une défaillance. Voici un résumé des résultats de cet examen.

    1.16.1 Défaillance de la longrine tronquée du bout B du wagon-citerne UTLX 27545

    L'examen a révélé ce qui suit :

    • Des réparations correspondant à un déraillement antérieur ayant endommagé le bout B du wagon ont été observées. Des rapiéçages de l'enveloppe isolante, des réparations à la traverse pivot, des marques de contact entre l'essieu et les boulons du support de l'appareil de choc et de traction, et des réparations à la plate-forme du bout B ont été observés. Des résidus d'un précédent contrôle par ressuage (liquide pénétrant), sur la soudure entre la citerne et la plaque d'appui et sur la soudure entre la plaque d'appui et la cale de bout de citerne ont été observés. Aucun résidu n'a été trouvé sur la soudure reliant la cale de bout de citerne à la longrine tronquée.
    • La rupture de la longrine tronquée résulte d'une succession de fractures dues à des contraintes excessives.
      • La défaillance la plus ancienne, et par conséquent la défaillance principale, a été la fracture entre la cale de bout de citerne et la longrine tronquée, du côté gauche. Même si la plus grande partie des détails de la surface de fracture ont été oblitérés par la corrosion et le frottement des surfaces de fracture qui étaient en contact, des poches contenant des chevrons indiquent que la fissuration s'est propagée de l'intérieur vers l'extérieur, en direction de l'attelage. En raison des dommages importants dus à la corrosion, il a été impossible de déterminer le point d'origine de cette fracture.
      • Une discontinuité métallurgique ressemblant à un délaminage ou une soudure a été observée dans le métal de base de la longrine tronquée. Une fracture voisine de la discontinuité montrait des signes clairs de fracture. La corrosion réduite indique qu'il s'agit vraisemblablement d'une fracture plus récente qui est considérée comme une fracture secondaire. La discontinuité proprement dite n'a vraisemblablement pas causé la fracture principale, mais elle a effectivement permis de localiser les fractures secondaires.
      • L'absence de corrosion et la présence de signes évidents de fracture, à la fois dans la fracture horizontale du côté droit de la longrine tronquée et dans les fractures verticales des côtés de la longrine tronquée, signifient que ces fractures sont les plus récentes.
    • L'absence de déformation plastique évidente, combinées au point d'origine et au sens de la propagation des fractures secondaires, suggère que des tensions de torsion ont joué un rôle dans la rupture de la longrine tronquée survenue suite à des contraintes excessives. La rigidité axiale inhérente des wagons-citernes, combinée aux dommages causés lors du déraillement précédent, suggère que de fortes tensions de torsion ont pu se manifester lors d'un événement antérieur.

    1.16.2 Défaillance de la longrine tronquée du bout A du wagon-citerne UTLX 37605

    L'examen a révélé ce qui suit :

    • Une déformation plastique importante a été observée sur les côtés adjacents à la fracture. Les nervures de renfort des butées de traction étaient gauchies et avaient été arrachées des deux côtés de la longrine tronquée, et les butées de traction étaient déformées. Le pylône de choc et le support d'attelage présentaient des dommages qui témoignaient des forces d'impact liées à l'attelage. Toutes ces particularités correspondent à des dommages dus à des forces d'impact importantes qui se sont exercées à long terme (voir la photo 3).
    Photo 3. Partie supérieure de la longrine tronquée montrant une déformation plastique. Le point de contact entre la cale de bout de citerne et la longrine est visible (flèches).
    Image
    Photo 3. Partie supérieure de la longrine tronquée montrant une déformation plastique. Le point de contact entre la cale de bout de citerne et la longrine est visible (flèches).
    • On a démonté et examiné l'appareil de choc et de traction du bout A. Il s'agissait d'un appareil Cardwell Westinghouse Mark 50, qui avait été remis à neuf en août 1998 par la Independent Draft Gear, à Farrel, en Pennsylvanie. Il avait été installé sur le wagon UTLX 37605 par Procor, à Sarnia (Ontario), en octobre 1998. L'arrière de la cage de butée de l'appareil de choc et de traction avait gonflé et ne respectait plus les tolérances dimensionnelles. Avant le démontage, l'appareil de choc et de traction avait passé avec succès un essai qualitatif de résistance à un impact de 36 000 livres. Le démontage de l'appareil de choc et de traction a révélé ce qui suit :
      • Les deux plaques de retenue de forme conique avaient été installées à l'envers, de sorte que la surface de frottement conique ne s'ajustait pas dans le sabot de blocage (wedge shoe).
      • Une nouvelle cale d'appui centrale (centre wedge) de 20 ° a été installée avec une vieille assise de ressort (spring seat) de 12 °.
      • Les quatre ressorts à boudin d'angle ont échoué au test de mesurage de la longueur au reposNote de bas de page 6.
      • La plaque de retenue extérieure gauche, les deux plaques de retenue intérieures et les deux sabots de blocage étaient usés au-delà des limites critiques d'usure.
    • La rupture de la longrine tronquée résulte d'une succession de fractures dues à des contraintes excessives (voir la photo 4) :
    • La défaillance principale correspond à la rupture du contact entre la cale de bout de citerne et la longrine tronquée. Des dommages dus à la corrosion et au frottement ont été observés entre les surfaces de fracture qui étaient en contact, ce qui suggère que la fracture était présente depuis un certain temps au moment de la défaillance finale. La fracture a pris naissance dans le matériau de la longrine tronquée, près des extrémités de la nervure de renfort supérieure des deux butées de traction arrière. La fracture s'est ensuite propagée rapidement vers l'extérieur, en direction de l'attelage, et ce, des deux côtés, et a fait en sorte que la cale de bout de citerne s'est détachée de la longrine tronquée.
    • Des fractures secondaires qui descendaient le long des deux côtés de la longrine tronquée avaient été réparées par soudage. Les soudures s'étendaient vers le haut sur une dizaine de pouces de chaque côté et s'arrêtaient à l'enveloppe de citerne, à moins de quatre pouces de la paroi de la citerne. La forme générale des dépôts de soudage suggère que la longrine tronquée a subi une déformation plastique lors de la dernière réparation.
    • La fracture finale s'est produite lorsque les soudures de réparation ont cédé et que le reste de la longrine s'est détachée.
    • Une ferrure était fixée à la longrine tronquée, un peu à l'extérieur par rapport à la cale de bout de citerne et correspondait à une ferrure similaire placée sur l'enveloppe du wagon. Le bout B du wagon montre la configuration originale (voir la photo 5). L'examen de la ferrure du bout A a indiqué que les soudures qui la retenaient à la longrine tronquée étaient les soudures d'origine et qu'elles n'avaient pas été retouchées. Cela suggère que la ferrure était en place lors de la dernière inspection de la longrine tronquée (2004) et qu'en raison de cette ferrure, il a dû pour le moins être difficile de faire une inspection visuelle de la cale inférieure de bout de citerne à ce moment-là.

    2.0 Analyse

    2.1 Introduction

    Ni la conduite du train no M-30451-11 ni l'état de l'infrastructure de la voie dans le secteur n'ont joué un rôle dans l'incident. L'analyse porte sur les mouvements du wagon-citerne UTLX 37605, le système d'établissement des feuilles de route et de suivi des wagons, les défaillances de longrines tronquées de wagons-citernes, ainsi que sur le Règlement sur le TMD de TC.

    2.2 L'incident

    Après que le wagon de marchandises dangereuses UTLX 37605 a été déclaré défectueux par la UP, il a été placé à la queue de trains successifs jusqu'au 14 janvier 2009 où il a été intégré au train no M-30451-11 à Winnipeg comme 41e wagon des 72 wagons du train. Roulant vers l'est à destination de Toronto, le train a accéléré lentement jusqu'à une vitesse d'environ 4 mi/h, puis un serrage intempestif des freins d'urgence provenant de la conduite générale s'est déclenché. Dans des conditions normales d'exploitation, la longrine tronquée du bout A du wagon UTLX 37605 (le 41e wagon des 72 wagons du train) s'est rompue juste derrière les sabots d'arrêt arrière de l'appareil de choc et de traction et s'est détachée du wagon, ce qui a déclenché un freinage d'urgence.

    En mars 2004, la longrine tronquée du wagon UTLX 37605 avait fait l'objet d'une inspection visuelle qui n'avait révélé aucune anomalie. En novembre 2008, la longrine tronquée du bout A s'était rompue, montrant une déformation importante qui correspondait à des forces d'impact importantes à long terme. La rupture de la longrine tronquée résultait d'une succession de fractures dues à des contraintes excessives. La fracture principale était située entre la cale de bout de citerne et la longrine tronquée. La corrosion et les dommages par frottement causés aux surfaces de fracture qui étaient en contact suggèrent que la fracture était présente et est passée inaperçue pendant quelque temps avant la défaillance. La fracture a pris naissance à l'intérieur de la longrine tronquée, près des extrémités de la nervure de renfort supérieure des deux butées de traction arrière, puis elle s'est propagée rapidement vers l'extérieur; la cale de bout de citerne s'est alors détachée de la longrine tronquée. Du fait de l'emplacement du point d'origine de la fracture initiale, on estime qu'une détection précoce de cette fracture aurait était difficile. Les fractures ont ensuite progressé du haut vers le bas sur les côtés de la longrine tronquée et ont été réparées temporairement par soudage à deux reprises. La rupture finale s'est produite dans les soudures de réparation temporaires lorsque des efforts de traction normaux ont dépassé la capacité de la section transversale restante de la longrine tronquée.

    Le 24 novembre 2008, la UP avait placé une étiquette de rapatriement pour réparations (HOME SHOP FOR REPAIR) à l'intérieur du porte-étiquette d'acheminement du wagon UTLX 37605. L'étiquette précisait que la longrine tronquée du bout A avait été réparée temporairement, que le wagon ne devait pas passer à la butte de triage et qu'il devait être placé en queue de train. L'étiquette est restée à l'intérieur du porte-étiquette d'acheminement, mais aucune instruction « Do Not Hump » disant de ne pas faire passer le wagon à la butte de triage n'a été associée électroniquement au wagon, à quelque moment que ce soit, par les systèmes du CN. Quand il est arrivé à Sarnia le 26 décembre 2008, le wagon UTLX 37605 était le wagon de queue du train no M-38461-25. Toutefois, même si le wagon était arrivé à la destination indiquée sur sa feuille de route, il n'a pas été dételé du train, et il est reparti de Sarnia avec le train après un changement d'équipe.

    Par la suite, le wagon UTLX 37605 a été acheminé au triage MacMillan du CN à Toronto. Il a de nouveau été déclaré défectueux parce que la longrine tronquée de son bout A présentait des fissures et, entre le 27 décembre 2008 et le 2 janvier 2009, il a fait l'objet de manœuvres de triage à sept reprises et est passé à la butte de triage quatre fois avant que des soudures soient faites pour réparer la longrine tronquée. Après les réparations, une feuille de route a de nouveau été délivrée pour acheminer le wagon à Sarnia. Comme les réparations temporaires étaient terminées, l'état d'avarie du wagon a été retiré des systèmes du CN, et le wagon a été remis en service après l'ajout de notes au bulletin de composition du train et à la feuille de route. Entre le 5 et le 6 janvier 2009, le wagon a fait l'objet de manœuvres de triage à deux reprises et est passé à la butte de triage deux fois avant que le CN constate qu'il contenait encore 51 500 livres de produit.

    Le 6 janvier 2009, le Centre des services à la clientèle du CN a modifié l'état de charge du wagon, le faisant passer de wagon de résidus à wagon chargé, et la destination sur la feuille de route a été changée de Sarnia à Winnipeg par inadvertance. Conformément aux notes de la feuille de route et du bulletin de composition, le wagon a été placé comme wagon de queue du train no M-313331-08 du CN à destination de Winnipeg. À son arrivée, le wagon UTLX 37605 a fait l'objet de manœuvres de triage à deux reprises et est passé à la butte de triage encore une fois avant d'être acheminé à Sarnia et être intégré au train no M-30451-11 du CN comme le 41e wagon du train le 14 janvier 2009.

    Après avoir été reçu en échange, le wagon-citerne UTLX 37605 est demeuré en service pendant 27 jours. Pendant cette période, de nombreuses occasions se sont présentées où l'on aurait pu intervenir et interdire que le wagon passe à la butte de triage et ainsi assurer l'acheminement du wagon en toute sécurité jusqu'à Sarnia. Cependant, en raison de défaillances du système d'établissement des feuilles de route et de suivi des wagons du CN, le wagon a été intégré à 6 trains différents, a fait l'objet de manœuvres de triage à 13 reprises au moins et est passé à la butte de triage 7 fois alors que la longrine tronquée de son bout A présentait des fissures et des dommages importants.

    Au moment de l'événement, le système SRS pouvait enregistrer jusqu'à sept codes alphabétiques différents à deux positions, mais le système ne fonctionnait pas comme prévu, et le code de la 6e position a été supplanté de la liste quand on a ajouté des codes additionnels. Il s'ensuit que, quand le wagon a été réacheminé à Sarnia au départ de Winnipeg, l'application du code d'acheminement a supprimé automatiquement la mention interdisant de placer le wagon UTLX 37605 ailleurs qu'en queue de train. Cette restriction étant supprimée, le wagon a été intégré au train no M-30451-11 du CN comme 41e wagon, et la longrine tronquée du bout A du wagon s'est rompue après le départ du train de Winnipeg.

    2.3 Réparations temporaires et préclusions

    La UP avait fait souder temporairement la longrine tronquée du bout A du wagon UTLX 37605, et le CN l'avait fait souder une deuxième fois après avoir déclaré le wagon défectueux et l'avoir fait passer à la butte de triage quatre fois avec une longrine tronquée rompue. Les soudures de réparation des côtés de la longrine tronquée ont été faites après que la cale de bout de citerne s'est détachée de la longrine tronquée; la longrine tronquée était déjà très déformée à ce moment. Les soudures s'arrêtaient à l'enveloppe de citerne, à un point situé à moins de 4 pouces de la paroi de la citerne. Les soudures ont été faites par des soudeurs qui n'étaient pas qualifiés pour faire des travaux de soudure sur des wagons-citernes, et elles ont été faites dans une installation qui n'était pas approuvée pour l'exécution de ces travaux.

    Dans les deux cas, le propriétaire du wagon a approuvé le mouvement du wagon au terme des réparations temporaires. La règle 108 de l'AAR et le paragraphe 4 du Règlement concernant l'inspection et la sécurité des wagons de marchandises permettent qu'on exécute des réparations partielles ou temporaires de façon que le wagon puisse rouler sans danger jusqu'à sa destination.

    Les dommages importants que présentait déjà la longrine tronquée du bout A du wagon sont considérés comme un élément de non-conformité aux termes du Règlement sur le TMD, et comme une « défectuosité relative à la sécurité » aux termes du Règlement concernant l'inspection et la sécurité des wagons de marchandises . Donc, on aurait dû, au minimum, obtenir une préclusion après l'exécution des réparations temporaires, avant le déplacement du wagon UTLX 37605. Toutefois, le CN n'a demandé une préclusion à la Direction générale du TMD qu'après l'événement du 14 janvier 2009.

    Dans une telle situation, une préclusion joue plusieurs rôles. Elle protège la compagnie qui assure l'acheminement contre des poursuites pour avoir acheminé un wagon non conforme. Dès l'obtention d'une préclusion, le superviseur des marchandises dangereuses de la compagnie est informé de la situation et il a la responsabilité de surveiller le wagon et d'en assurer le suivi. La préclusion est aussi un moyen dont la Direction générale du TMD dispose pour assurer le suivi d'un wagon-citerne de marchandises dangereuses endommagé et pour veiller à ce que le wagon soit acheminé en toute sécurité. Si l'on avait obtenu une préclusion, le wagon UTLX 37605 aurait pu faire l'objet d'une surveillance accrue pour faciliter son acheminement en toute sécurité, ce qui aurait réduit le risque de défaillance.

    2.4 Défaillances de longrines tronquées de modèle UTLZBN

    Le parc de wagons-citernes d'Amérique du Nord compte quelque 325 000 wagons-citernes équipés de 65 modèles différents de longrines tronquées. Environ 41 000 de ces wagons-citernes (13 %) sont pourvus de longrines tronquées de modèle UTLZBN. Les deux longrines tronquées du wagon-citerne UTLX 37605 inspectées par le BST ont révélé des particularités correspondant à des dommages causés par des impacts importants dus à une manutention brusque. Par ailleurs, l'industrie reconnaît que, durant leur vie utile, tous les wagons-citernes peuvent être exposés périodiquement à de la manutention brusque et que des défaillances de longrines tronquées peuvent se produire à l'occasion.

    On pourrait s'attendre à ce que le nombre de défaillances de longrines tronquées soit proportionnel au nombre de wagons en service pourvus d'un modèle particulier de longrine tronquée. Par exemple, si un modèle particulier de longrine tronquée représente 10 % de la population, il devrait compter pour environ 10 % des défaillances. Dans ce cas, les wagons pourvus de longrines tronquées de modèle UTLZBN représentent 13 % de la population totale de wagons-citernes; toutefois, depuis janvier 2004, ces wagons comptent pour 34 % (17 sur 50) des cas de fissuration de longrine tronquée et pour 100 % (8 sur 8) des cas de rupture de longrine tronquée relevés au Canada. Ces chiffres suggèrent que les longrines tronquées de modèle UTLZBN présentent un risque accru de défaillance.

    Dans 65 % des cas de défaillance signalés (23 sur 35), on a relevé des signes de forces d'impact plus élevées qu'à l'habitude. Bien que la manutention brusque puisse jouer un rôle dans les défaillances de longrines tronquées, il est aussi vraisemblable que le milieu d'exploitation que nous connaissons aujourd'hui soit un facteur contributif. L'accroissement de la longueur et du tonnage des trains a donné lieu à des augmentations des efforts normaux de traction et de compression, particulièrement dans le cas des trains conventionnels tirés par des groupes de traction placés en tête de train. On peut atténuer les forces exercées sur les trains en prenant des mesures additionnelles, par exemple en utilisant la puissance répartie et en ayant recours à des méthodes plus rigoureuses de formation des trains. Cependant, sans ces mesures additionnelles, la conduite de trains plus longs et plus lourds, tirés par des groupes de traction placés en tête de train, accroît le risque d'endommager les longrines tronquées de wagon-citerne conçus selon des critères plus anciens, les rendant plus susceptibles de subir une défaillance.

    2.5 Signalement des défaillances de longrines tronquées

    Il est difficile d'avoir des statistiques exactes sur le nombre de défaillances de longrines tronquées, car ces statistiques ne sont pas regroupées en un seul endroit. Dans le cas qui nous occupe, même le propriétaire du wagon n'était pas certain du nombre de wagons munis de longrines tronquées de modèle UTLZBN ayant connu des défaillances. Après la défaillance d'une longrine tronquée, le service chargé de facturer l'AAR au sein de chaque compagnie doit normalement prendre des décisions concernant la disposition du wagon. Lorsqu'un wagon-citerne subit une rupture de longrine tronquée, on décide souvent d'envoyer le wagon à la casse en raison de son âge, sans nécessairement consulter le personnel de l'ingénierie de la compagnie propriétaire du wagon. Par conséquent, les wagons-citernes sont envoyés à la casse, et la défaillance de la longrine tronquée n'est jamais consignée. Résultat, les propriétaires de wagons, l'AAR et les organismes de réglementation ne disposent pas toujours d'information adéquate sur la fréquence et la nature critique des défaillances de longrines tronquées.

    Les rapports de réparation de longrine tronquée (R2) de l'AAR et les rapports d'inspection (SS3) ne renferment pas nécessairement l'information relative aux fissures et aux ruptures de longrine tronquée, sans compter qu'il n'est pas obligatoire de signaler à l'AAR ou aux organismes de réglementation les cas de fissuration et de rupture de longrine tronquée de wagon-citerne de marchandises dangereuses. Par contre, l'AAR exige que les chemins de fer remplissent et transmettent des rapports normalisés sur les défaillances de différents éléments mécaniques, dont les essieux (MD-12), les roues (MD-115), les roulements à rouleaux qui ont chauffé (MD-11), les longerons de bogie et les traverses danseuses. Ces rapports font l'objet d'évaluations périodiques et, dans certains cas, ils ont amené l'AAR à émettre des circulaires de sécurité concernant le rappel ou la surveillance de pièces potentiellement défectueuses. Faute d'un protocole de l'industrie ou d'un protocole réglementaire relatif à l'enregistrement et à l'analyse des données sur les fissures ou les ruptures de longrine tronquée de wagon-citerne de marchandises dangereuses, il existe un risque accru que des longrines tronquées problématiques (surtout les modèles susceptibles de connaître une défaillance) ne soient pas détectées et soient laissées en service.

    2.6 Inspection des longrines tronquées

    La fracture principale des deux longrines examinées s'est produite dans la soudure reliant la cale de bout de citerne à la longrine tronquée. Bien que l'échantillonnage soit petit, cela suggère qu'il est essentiel de faire une inspection minutieuse des longrines tronquées dans cette zone pour pouvoir détecter la présence de fissures lors des inspections réglementaires des longrines tronquées. Lors de l'examen de la longrine tronquée du bout B du wagon UTLX 27545, des résidus d'un précédent contrôle par ressuage (liquide pénétrant) ont été relevés sur la soudure entre la citerne et la plaque d'appui, et sur la soudure entre la plaque d'appui et la cale de bout de citerne, mais aucun résidu n'a été observé sur la soudure reliant la cale de bout de citerne à la longrine tronquée. Dans le cas de la longrine tronquée du bout A du wagon UTLX 37605, une partie de la soudure reliant la cale de bout de citerne et la longrine tronquée était cachée par une ferrure qui était restée en place lors de l'inspection de la longrine tronquée faite en 2004. De plus, le point d'origine de la fracture sur le wagon UTLX 37605 se trouvait près des extrémités de la nervure de renfort supérieure des deux butées de traction arrière, à l'intérieur de la longrine tronquée, soit des endroits où il est difficile de faire une inspection visuelle.

    Des fissures affectent périodiquement tous les modèles de longrines tronquées de wagon-citerne. En conséquence, l'industrie a pris des mesures pour que les longrines tronquées fissurées soient détectées avant qu'elles ne connaissent une défaillance. Pour ce faire, elle exige que les longrines tronquées de tous les wagons-citernes fassent l'objet d'une inspection au moins une fois tous les 10 ans. Il existe différentes méthodes de contrôle non destructif pour faire ces inspections, mais la grande majorité des méthodes d'inspection consistent à faire uniquement un examen visuel et ne prévoient un contrôle non destructif que si une défectuosité est détectée. D'autres industries (p. ex. l'aviation et l'industrie maritime) utilisent des méthodes de contrôle non destructif autres que des examens visuels pour les inspections de première ligne des composants critiques. Le fait de s'en remettre surtout à des inspections visuelles à la recherche de fissures dans les zones susceptibles de présenter une fracture ne constitue peut-être pas la façon la plus sûre de faire une détection précoce des défaillances imminentes de longrine tronquée. L'efficacité de l'examen visuel est limitée par l'acuité visuelle de l'inspecteur, et elle est encore plus limitée lorsque des zones sont difficiles d'accès ou que la présence de certains composants empêche de bien voir les éléments à examiner. Bien que des intervalles de 10 ans soient adéquats pour les inspections visuelles de la plupart des longrines tronquées de wagon-citerne, ces intervalles sont peut-être trop longs pour les wagons-citernes pourvus de longrines tronquées de modèle UTLZBN, lesquelles présentent un risque accru de défaillance.

    2.7 Systèmes d'information sur les avaries

    Le paragraphe 4 du Règlement concernant l'inspection et la sécurité des wagons de marchandises stipule que « le mouvement d'un wagon présentant des défectuosités relatives à la sécurité sera contrôlé et protégé par un système d'information sur les avaries ou au moyen d'une étiquette d'avarie ou de rapatriement pour réparations. » Le CN se sert d'un système électronique pour identifier les wagons de marchandises présentant des défectuosités relatives à la sécurité et pour en faire le suivi. Ce système élimine l'obligation pour le CN d'apposer des décalcomanies de rapatriement ou des étiquettes d'avarie sur les wagons de marchandises. Les règles 80, 92 et 108 de l'AAR exigent toutes qu'on marque l'inscription « HOME SHOP FOR REPAIRS DO NOT LOAD » (RAPATRIEMENT POUR RÉPARATIONS, NE PAS CHARGER) de chaque côté du wagon, près du numéro du wagon.

    Quand le wagon UTLX 37605 a été échangé par UP au CN à Proviso, en Illinois, le 18 décembre 2008, la feuille de route indiquait des précisions sur l'acheminement en toute sécurité du wagon, mais le wagon ne portait aucune inscription.

    Dans bien des cas, les systèmes électroniques d'information sur les avaries constituent une amélioration par rapport aux systèmes manuels (lesquels exigent plus de main-d'œuvre). Toutefois, il n'en va pas nécessairement de même dans le cas des wagons de marchandises dangereuses qui présentent des défectuosités relatives à la sécurité. Du fait de la nature des produits en présence, les wagons qui transportent des marchandises dangereuses présentent des risques dont on doit informer le personnel de la compagnie de chemin de fer pour pouvoir acheminer le wagon en toute sécurité. Entre le moment où le CN a reçu le wagon le 18 décembre 2008 et le moment de la rupture de la longrine tronquée du bout A le 14 janvier 2009, on a eu plusieurs fois l'occasion d'identifier ce wagon et de prendre des mesures appropriées à son sujet. Pourtant, le wagon est passé virtuellement inaperçu sur le terrain jusqu'à ce que l'incident survienne. Cela donne à penser qu'en se fiant exagérément à un système d'information sur les avaries strictement électronique, on se prive de moyens de défense secondaires mais importants lorsqu'il s'agit d'assurer l'acheminement de wagons-citernes de marchandises dangereuses. L'absence d'indices visuels, comme des étiquettes d'avarie ou l'inscription « HOME SHOP FOR REPAIR » (RAPATRIEMENT POUR RÉPARATIONS), pour alerter le personnel du chemin de fer sur l'état des wagons qui nécessitent une attention particulière, augmente le risque que des wagons endommagés soient laissés en service.

    2.8 Identification des wagons-citernes de résidus

    Le Règlement sur le TMD indique qu'un wagon-citerne peut être désigné comme un wagon-citerne de « résidus » si la quantité de marchandises dangereuses qu'il contient « est inférieure à 10 pour cent de la quantité maximale de remplissage du contenant ». En règle générale, un wagon de marchandises de 100 tonnes a un produit brut sur rail de 263 000 livres et une tare de 63 000 livres environ. Un wagon de cette capacité pourrait transporter 200 000 livres (100 tonnes) de produit. Si l'on utilise ce modèle, un wagon de 100 tonnes contenant moins de 20 000 livres de marchandises dangereuses serait classé comme wagon de « résidus », mais il serait considéré comme un wagon « chargé » s'il contenait plus de 20 000 livres de produit. Cela ne se vérifie pas nécessairement dans le cas des wagons-citernes de marchandises dangereuses. Le wagon-citerne UTLX 37605 avait un produit brut sur rail de 263 000 livres et une tare de 108 500 livres. En raison de son poids, le wagon était limité à un chargement de 154 500 livres de produit. En vertu du Règlement sur le TMD, ce wagon devrait donc être considéré comme un wagon chargé dès qu'il contient plus de 15 450 livres de produit.

    Le destinataire des États-Unis ne disposait pas d'une balance et déplaçait normalement les wagons en tenant compte de durées préétablies. En suivant cette procédure, on a supposé après une durée préétablie que le wagon UTLX 37605 était vide et on a approuvé son mouvement sans que le destinataire ou les compagnies de chemin de fer aient fait une vérification. Si le poids du wagon avait été consigné pendant le triage à butte, ou autrement, le problème lié au déchargement aurait peut-être été détecté auparavant. Entre mai 2008 et janvier 2009, ce wagon a été identifié à tort comme étant un wagon vide (aux États-Unis) ou un wagon de résidus (au Canada) par au moins trois chemins de fer de catégorie 1 différents, et sur de multiples bulletins de composition et feuilles de route. Au cours de nombreuses opérations d'aiguillage, de triage à butte et de réparation, le wagon a été manutentionné par des employés de différents chemins de fer qui ne savaient pas que ce wagon contenait encore au moins 51 500 livres de propylène, soit un chargement équivalant à environ 45 % de sa charge utile. Faute d'un système intégré permettant de vérifier si un wagon-citerne de marchandises dangereuses est chargé ou non, un wagon risque d'être identifié à tort comme étant un wagon de résidus alors qu'il contient encore une quantité importante de produit, ce qui compromet la sécurité des employés des chemins de fer et des premiers répondants qui ne sont peut-être pas informés adéquatement des dangers que représente le transport de telles quantités de produit.

    2.9 Difficultés lors du déchargement du wagon UTLX 37605

    Les données historiques du détecteur WILD révèlent que le wagon UTLX 37605 circulait avec un chargement partiel depuis 2008, ce qui indique que le problème lié à la tubulure de vidange s'était vraisemblablement manifesté auparavant et était déjà présent à cette époque. L'appareil de choc et de traction du bout A ayant été mal remonté, sa capacité d'absorber des efforts élevés de traction et de compression a été vraisemblablement compromise. Dans ces conditions, des efforts ont dû être transmis à la caisse du wagon-citerne et à ses accessoires par l'entremise de la longrine tronquée. Une des soudures fixant le guide de la tubulure de vidange du bout A à la paroi de la citerne s'est brisée, de sorte que le guide s'est tordu et a quitté complètement la position qu'il devait occuper. Comme le guide du bout A avait quitté sa position au bas du wagon, la partie inférieure de la tubulure de vidange a commencé à se déplacer au gré des mouvements de traction et de compression des attelages du wagon, ce qui a provoqué la rupture de la soudure du joint étanche qui fixait la conduite du bout B au robinet de phase liquide. Des rainures correspondantes qui ont été observées à l'extrémité de la conduite et sur le rebord de la gaine du robinet de phase liquide donnent à penser que la conduite du bout B a été déplacée et s'est séparée de la gaine du robinet et s'est trouvée engagée partiellement dans la partie inférieure du rebord du robinet.

    En octobre 2008, avec la conduite du bout B déplacée et qui n'était plus en contact avec le robinet de phase liquide, il devenait impossible de pressuriser complètement le wagon, si bien que le destinataire de Grelake, au Texas, n'a pu procéder qu'à un déchargement partiel du wagon. Du fait que le wagon a pu être déchargé partiellement en octobre 2008 et du fait qu'il a été impossible de le décharger après l'incident du 14 janvier 2009, on peut penser que la tubulure de vidange s'est détachée complètement des robinets au cours de cette période de 3 mois. Dans l'intervalle, le wagon a fait régulièrement l'objet de manœuvres de triage jusqu'à ce qu'il arrive au triage MacMillan du CN à Toronto où il est passé plusieurs fois à la butte de triage alors que la longrine tronquée de son bout A était fissurée. Durant cette période de manutention, il est vraisemblable que la soudure retenant la tubulure de vidange au robinet du bout A se soit rompue et que la tubulure soit tombée au fond de la citerne. Par la suite, il a été impossible de vider le wagon de son contenu à Winnipeg, après l'incident.

    2.10 Appareil de choc et de traction

    Deux des composants internes de l'appareil de choc et de traction du bout A du wagon UTLX 37605 ont été installés à l'envers lors de la remise à neuf de l'appareil en 1998. Ce montage incorrect réduit l'amortissement assuré par l'appareil de choc et de traction et peut occasionner des forces d'impact plus grandes lors des opérations normales d'aiguillage et de triage à butte. Même si l'appareil de choc et de traction a passé le test qualitatif de résistance à l'impact avant le démontage, il se peut qu'il ne l'ait pas passé lors du premier montage. On croit que la performance de l'appareil de choc et de traction a pu s'améliorer à mesure que les surfaces en contact s'usaient et que l'état de la surface de contact se rapprochait de celui d'un appareil de choc et de traction monté correctement.

    Toutefois, le mauvais montage de l'appareil de choc et de traction peut avoir joué un rôle dans la déformation de la longrine tronquée et dans les dommages qu'elle a subis. L'importante déformation et le cisaillement des supports de l'appareil de choc et de traction (draft gear lugs) et des côtés de la longrine tronquée indiquent que le wagon a subi à long terme des forces d'impact plus grandes qu'à l'habitude. Cela donne à penser que, périodiquement, l'appareil de choc et de traction n'a peut-être pas fonctionné comme prévu. Compte tenu de ces circonstances, la réduction de l'effet d'amortissement de l'appareil de choc et de traction mal monté peut avoir été un facteur contributif aux dommages à la longrine tronquée.

    L'enquête a donné lieu aux rapports de laboratoire suivants :

    LP048/2009 — Examination of Failed A-end Stub Sill from UTLX 37605 (Examen de la longrine tronquée défaillante du bout A du wagon UTLX 37605.

    LP081/2009 — Examination of Failed B-end Stub Sill From UTLX 27545 (Examen de la longrine tronquée défaillante du bout B du wagon UTLX 27545).

    On peut obtenir ces rapports en s'adressant au Bureau de la sécurité des transports du Canada.

    3.0 Conclusions

    3.1 Faits établis quant aux causes et aux facteurs contributifs

    1. Dans des conditions normales d'exploitation, la longrine tronquée du bout A du wagon UTLX 37605 (le 41e wagon des 72 wagons du train) s'est rompue juste derrière les sabots d'arrêt arrière de l'appareil de choc et de traction et s'est détachée du wagon, ce qui a déclenché un serrage intempestif des freins d'urgence provenant de la conduite générale.
    2. La rupture de la longrine tronquée résulte d'une succession de fractures dues à des contraintes excessives. La fracture a pris naissance près des extrémités de la nervure de renfort supérieure des deux butées de traction arrière et s'est ensuite propagée des deux côtés. Les côtés avaient fait l'objet de soudures de réparation. La rupture finale s'est produite dans les soudures de réparation temporaires lorsque des efforts de traction normaux ont dépassé la capacité de la section transversale restante de la longrine tronquée.
    3. Le wagon UTLX 37605 n'a pas été dételé lorsqu'il est arrivé à destination à Sarnia (Ontario) en décembre 2008, même s'il était le wagon de queue et que le train s'était arrêté à Sarnia pour un changement d'équipe.
    4. En raison de défaillances du système d'établissement des feuilles de route et de suivi des wagons du Canadien National (CN), le wagon-citerne UTLX 37605 a été intégré à 6 trains différents, a fait l'objet de manœuvres de triage à 13 reprises au moins et est passé à la butte de triage 7 fois alors que la longrine tronquée de son bout A présentait des fissures et des dommages importants.
    5. Quand le wagon UTLX 37605 a été réacheminé à Sarnia au départ de Winnipeg (Manitoba), la restriction interdisant de placer le wagon ailleurs qu'en queue de train a été supprimée automatiquement par l'application du code d'acheminement. Cette restriction étant supprimée, le wagon a été intégré au train no M-30451-11 du CN comme 41e wagon, et après le départ du train de Winnipeg, la longrine tronquée du bout A du wagon s'est rompue.

    3.2 Faits établis quant aux risques

    1. Si l'on avait obtenu une préclusion, le wagon UTLX 37605 aurait pu faire l'objet d'une surveillance accrue pour faciliter son acheminement en toute sécurité, ce qui aurait réduit le risque de défaillance.
    2. Les statistiques sur les défaillances de longrines tronquées au Canada suggèrent que depuis 2004 les longrines tronquées de modèle UTLZBN présentent un risque accru de défaillance.
    3. Sans mesures additionnelles visant à atténuer les forces exercées sur les trains, la conduite de trains plus longs et plus lourds, tirés par des groupes de traction placés en tête de train, accroît le risque d'endommager les longrines tronquées de wagon-citerne conçues selon des critères plus anciens, les rendant plus susceptibles de subir une défaillance.
    4. Faute d'un protocole de l'industrie ou d'un protocole réglementaire relatif à l'enregistrement et à l'analyse des données sur les fissures ou les ruptures de longrine tronquée de wagon-citerne de marchandises dangereuses, il existe un risque accru que des longrines tronquées problématiques (surtout les modèles susceptibles de connaître une défaillance) ne soient pas détectées et soient laissées en service.
    5. Bien que des intervalles de 10 ans soient adéquats pour les inspections visuelles de la plupart des longrines tronquées de wagon-citerne, ces intervalles sont peut-être trop longs pour les wagons-citernes pourvus de longrines tronquées de modèle UTLZBN qui présentent un risque accru de défaillance.
    6. En se fiant exagérément à un système d'information sur les avaries strictement électronique, on se prive de moyens de défense secondaires mais importants lorsqu'il s'agit d'assurer l'acheminement de wagons-citernes de marchandises dangereuses. L'absence d'indices visuels, comme des étiquettes d'avarie ou l'inscription « HOME SHOP FOR REPAIR » (RAPATRIEMENT POUR RÉPARATIONS), pour alerter le personnel du chemin de fer sur l'état des wagons qui nécessitent une attention particulière, augmente le risque que des wagons endommagés soient laissés en service.
    7. Faute d'un système intégré permettant de vérifier si un wagon-citerne de marchandises dangereuses est chargé ou non, un wagon risque d'être identifié à tort comme étant un wagon de « résidus » alors qu'il contient encore une quantité importante de produit, ce qui compromet la sécurité des employés des chemins de fer et des premiers répondants qui ne sont peut-être pas informés adéquatement des dangers que représente le transport de telles quantités de produit.

    3.3 Autres faits établis

    1. La tubulure de vidange du bout B du wagon UTLX 37605 s'est déplacée et n'était plus en contact avec le robinet de phase liquide. Il a donc été impossible de pressuriser complètement le wagon et on n'a pu procéder qu'à un déchargement partiel du wagon.
    2. Le wagon UTLX 37605 est passé plusieurs fois à la butte de triage alors que la longrine tronquée de son bout A était fissurée. Durant cette période de manutention, la soudure retenant la tubulure de vidange au robinet du bout A s'est rompue, et la tubulure est tombée au fond de la citerne. En conséquence, il a été impossible de vider le wagon de son contenu à Winnipeg, après l'incident.
    3. La réduction de l'effet d'amortissement de l'appareil de choc et de traction mal monté peut avoir été un facteur contributif aux dommages à la longrine tronquée.

    4.0 Mesures de sécurité

    4.1 Mesures prises

    4.1.1 Avis de sécurité ferroviaire 08/09 du BST

    Le 10 novembre 2009, le BST a émis l'avis de sécurité ferroviaire 08/09 qui indiquait que les wagons pourvus de longrines tronquées de modèle UTLZBN représentaient 13 % de la population de wagons-citernes, mais que, depuis janvier 2004, ils comptaient pour 29 % (17 sur 58) des cas de fissuration et de rupture de longrine tronquée et 100 % (8 sur 8) des cas de rupture de longrine tronquée survenus au Canada. Compte tenu des risques associés à une défaillance en service de longrine tronquée de wagon-citerne, l'avis de sécurité demandait à Transports Canada (TC) d'examiner les critères actuels d'inspection des longrines tronquées de wagons-citernes munis de longrines de modèle UTLZBN pour déterminer s'ils sont toujours adéquats.

    Le 14 décembre 2009, TC a répondu que les constatations du BST recoupaient plusieurs questions sur lesquelles TC mène actuellement une enquête en collaboration avec la Federal Railroad Administration (FRA) des États-Unis, l'Association of American Railroads (AAR) et les constructeurs de wagons-citernes, afin de mieux comprendre les problèmes potentiels et de déterminer s'il conviendrait de prendre des mesures de réglementation à court ou à long terme. TC entend continuer de surveiller étroitement la question des longrines tronquées de wagons-citernes, et plus particulièrement les problèmes dont le BST traite dans l'avis de sécurité.

    Sur la question de savoir si les critères actuels d'inspection des longrines tronquées des wagons-citernes sont toujours adéquats, TC a énoncé les grandes lignes de son programme d'inspection des longrines tronquées. TC déterminera s'il est nécessaire d'améliorer le processus concernant les procédures, la fréquence et/ou la surveillance de la conformité.

    Le 7 décembre 2009, une conférence téléphonique a été organisée pour discuter des longrines tronquées de modèle UTLZBN. Entre autres, des représentants du BST, de la Direction générale du transport des marchandises dangereuses de TC, de la FRA et de l'AAR ont participé à cette conférence. Après discussion, il a été convenu que la Union Tank Car Company (UTLX) devait participer aux échanges de vue pour permettre d'assurer un suivi plus poussé. Une seconde conférence téléphonique a donc été tenue le 16 décembre 2009 à laquelle UTLX a participé. UTLX a présenté un exposé sur les longrines tronquées de modèle UTLZBN. Après discussion, il a été déterminé qu'un suivi et des analyses supplémentaires s'imposaient.

    4.1.2 Lettre d'information sur la sécurité ferroviaire 06/09 du BST

    Le 16 décembre 2009, le BST a émis la lettre d'information sur la sécurité ferroviaire 06/09 qui indiquait que l'appareil de choc et de traction (de marque Cardwell Westinghouse Mark 50) du bout A du wagon UTLX 37605 avait été monté incorrectement lors d'une remise à neuf qui remontait au mois d'août 1998. Ce mauvais montage de l'appareil de choc et de traction aurait entraîné une réduction de l'amortissement et une augmentation des forces d'impact qui auraient vraisemblablement contribué aux dommages à la longrine tronquée du bout A.

    Le 22 janvier 2010, TC a répondu à la lettre en disant que le montage incorrect de l'appareil de choc et de traction lors de la remise à neuf relevait d'un problème de contrôle de la qualité. Le BST ayant fait parvenir la lettre d'information 06/09 à l'AAR, les mesures appropriées pour assurer la conformité avec les pratiques voulues de contrôle de la qualité peuvent dorénavant être prises.

    4.1.3 Mesures prises par le Canadien National

    Après l'incident du 14 janvier 2009, le Canadien National (CN) a pris les mesures de sécurité suivantes :

    • Le CN a ajouté une nouvelle caractéristique à son système informatisé d'établissement des feuilles de route (système SRS) et qui permettrait de retenir jusqu'à 20 codes différents.
    • Durant l'enquête, le CN a indiqué que les wagons vides déclarés défectueux n'étaient pas pesés pendant les opérations de triage à butte. Depuis lors, le CN a corrigé ce problème dans son système SRS.
    • Le CN fait l'essai d'un processus qui fait appel à son réseau de détecteurs de défauts de roues (détecteurs WILD) pour identifier les wagons qui ont un chargement de plus de 20 000 livres de produit.
    • Le CN a apporté des améliorations à ses systèmes de triage intelligent (système Smart Yard) qu'il emploie au triage MacMillan. Grâce à ces améliorations, le personnel du service de la mécanique peut appliquer directement à un wagon défectueux un code « Do not Hump » (DNH) disant de ne pas faire passer le wagon à la butte de triage. Le code DNH du service de la mécanique ne pourra pas être modifié. Si un plan de manœuvre a déjà été transmis au ministère des Transports, le système Smart Yard renverra automatiquement un nouveau plan de manœuvre contenant l'information sur les wagons devant être exemptés du triage à butte (code DNH). Le code DNH ne sera pas transmis au système SRS et sera supprimé automatiquement dès que le code d'avarie lié au wagon sera éliminé.

    4.1.4 Mesures prises par la Union Tank Car Company

    Après l'incident du 14 janvier 2009, la Union Tank Car Company (UTLX) a pris les mesures de sécurité suivantes :

    • UTLX a réévalué son programme d'entretien continu des triangles de stabilité (head shoe) de façon à tenir compte des informations relatives aux problèmes des longrines tronquées de modèle UTLZBN. UTLX a donc étendu la gamme de wagons dont les soudures doivent faire l'objet d'un entretien accru, pour y inclure des wagons spécifiques pourvus de traverses de traction de modèle UTLZBN construits entre 1970 et 1978; en 1981 et en 1986 dans le cas des wagons-citernes pressurisés; et entre 1970 et 1973 dans le cas des wagons qui ne sont pas pressurisés. On prévoit que l'augmentation de la population de wagons sera de l'ordre de 1900 unités.
    • UTLX mettra en œuvre des méthodes de contrôle non destructif d'un niveau supérieur qui porteront sur le raccord entre la cale de bout de citerne et la traverse de traction. Bien que l'inspection visuelle soit une méthode acceptable de contrôle non destructif, UTLX reconnaît que cette partie des wagons-citernes est un élément vital de l'intégrité de la structure du wagon-citerne, et entend par conséquent recourir à des contrôles par ressuage (liquide pénétrant) ou à des contrôles par particules magnétiques pour les inspections SS3 portant sur cette zone des longrines tronquées de modèle UTLZBN.
    • UTLX entend faire des inspections des soudures de raccord entre le siphon et les clapets de retenue des wagons qui montrent des signes de dommages aux longrines tronquées.

    4.1.5 Mesures prises par l'Association of American Railroads

    Après l'incident du 14 janvier 2009, l'Association of American Railroads (AAR) a pris les mesures de sécurité suivantes :

    • Le comité des wagons-citernes de l'AAR a ouvert un dossier privé relatif à l'examen des performances des longrines tronquées de ce type. Le comité des wagons-citernes de l'AAR entend continuer de travailler de concert avec UTLX pour trouver des façons de reconnaître et de corriger ces défectuosités pendant les travaux d'entretien et à d'autres moments.
    • Un groupe de travail du comité des wagons-citernes de l'AAR étudie des méthodes de contrôle non destructif améliorées pour l'inspection des wagons-citernes en général. Le comité des wagons-citernes de l'AAR cherche également à déterminer pourquoi les défectuosités de ce genre ne sont pas détectées avant que le matériel connaisse une défaillance, et examine le programme d'entretien du propriétaire pour établir s'il est adéquat.

    4.2 Mesures requises

    4.2.1 Surveillance des défaillances de longrines tronquées de wagons-citernes

    L'AAR exige que les chemins de fer remplissent et transmettent des rapports normalisés sur les défaillances de différents éléments mécaniques, dont les essieux (MD-12), les roues (MD-115), les roulements à rouleaux qui ont chauffé (MD-11), les longerons de bogie et les traverses danseuses. Ces rapports sont évalués périodiquement par l'AAR. Dans certains cas, les évaluations ont amené l'AAR à émettre des circulaires de sécurité concernant le rappel ou la surveillance de pièces potentiellement défectueuses.

    En ce concerne les longrines tronquées de wagon-citerne, les propriétaires de wagons doivent veiller à ce qu'un formulaire SS3 soit rempli pour chaque inspection de longrine tronquée de wagon-citerne. Ils doivent aussi remplir un formulaire R-2 pour témoigner des réparations effectuées sur un wagon-citerne dont la longrine tronquée présentait un gauchissement, de la corrosion ou des fissures d'origine non accidentelle. Ces rapports sont présentés à l'AAR, mais ils ne font pas l'objet d'un examen visant à déceler les tendances nouvelles en matière de défaillances de longrines tronquées. En outre, il arrive souvent qu'on envoie à la casse des wagons-citernes plus anciens dont la longrine tronquée présente une rupture importante ou une fissuration grave, parce que les coûts de réparation seraient trop élevés. Dans ces cas, on ne remplit pas de formulaire R-2 puisque la longrine tronquée n'est pas réparée. Il s'ensuit que l'information sur les défaillances de longrines tronquées n'est pas toujours enregistrée de façon uniforme ni analysée à la recherche de défectuosités relatives à la sécurité.

    Le parc de wagons-citernes d'Amérique du Nord compte quelque 325 000 wagons, dont 41 000 wagons-citernes (13 %) pourvus de longrines tronquées de modèle UTLZBN. Environ 35 000 des wagons pourvus de longrines tronquées de modèle UTLZBN sont affectés au transport de marchandises dangereuses. Au Canada, entre janvier 2004 et juin 2009, 58 wagons-citernes ont été déclarés défectueux en raison de longrines tronquées fissurées (50) ou rompues (8). Bien que les wagons-citernes pourvus de longrines tronquées de modèle UTLZBN ne représentent que 13 % de la population de wagons-citernes, ces wagons-citernes ont compté pour 34 % (17 sur 50) des cas de fissuration et 100 % (8 sur 8) des cas de rupture de longrine tronquée relevés au Canada au cours de la période de 5,5 ans débutant en janvier 2004. Dans bien des cas, TC a reçu peu ou pas d'information à propos de ces défaillances, vu qu'il n'est pas obligatoire de signaler ce type de défaillances.

    Alors qu'elles sont tenues de signaler les fissures et les ruptures de roues et d'essieux, les compagnies de chemin de fer ne sont pas obligées de signaler à l'AAR les cas de fissuration et de rupture de longrine tronquée de wagon-citerne. Au Canada, il n'est pas obligatoire de signaler ces défaillances en vertu du Règlement concernant l'inspection et la sécurité des wagons de marchandises et, dans le cas des wagons-citernes transportant des marchandises dangereuses, en vertu de la Loi sur le transport des marchandises dangereuses . Cette situation fait que les défaillances de longrines tronquées ne sont pas signalées de façon uniforme, et elles sont probablement sous-représentées dans les statistiques. Faute d'un protocole de l'industrie ou d'un protocole réglementaire permettant de documenter les défaillances de longrines tronquées de wagons-citernes, il se peut qu'un modèle de longrine tronquée qui est susceptible de connaître une défaillance ne soit pas identifié en temps voulu. En conséquence, le Bureau recommande que :

    le ministère des Transports, en collaboration avec l'industrie ferroviaire et d'autres organismes de réglementation d'Amérique du Nord, établisse un protocole de signalement et d'analyse des défaillances de longrines tronquées de wagons-citernes, de façon que les wagons dangereux soient réparés ou retirés du service.
    Recommandation R10-01 du BST

    4.3 Préoccupation liée à la sécurité

    4.3.1 Critères de l'Association of American Railroads concernant la conception des longrines tronquées

    En Amérique du Nord, entre janvier 2004 et juin 2009, UTLX a signalé 35 cas de rupture de longrine tronquée de modèle UTLZBN où la longrine tronquée s'est complètement détachée du wagon. Huit de ces ruptures (23 %) sont survenues au Canada; les 27 autres sont survenues aux États-Unis et concernaient 5 chemins de fer différents de catégorie 1. Dans tous les cas, les wagons avaient été construits en 1995 ou avant, et les longrines tronquées de modèle UTLZBN satisfaisaient aux critères de conception de l'AAR en vigueur au moment de la construction des wagons.

    Au milieu des années 1990, l'AAR a modifié les critères de conception des longrines tronquées pour tenir compte des changements apportés aux opérations ferroviaires. Par la suite, UTLX a remplacé les longrines tronquées de modèle UTLZBN par les longrines tronquées de modèle UTLZBG, beaucoup plus robustes. Depuis lors, même si les longrines tronquées de modèle UTLZBN ont continué de connaître des défaillances à un rythme supérieur à la moyenne, aucune défaillance catastrophique de longrine tronquée de modèle UTLZBG n'a jamais été signalée.

    L'industrie note que de nombreuses longrines tronquées sont affectées par des fissures durant leur vie utile, d'où la nécessité de les inspecter régulièrement. Cependant, UTLX indique que dans 65 % des défaillances signalées, des indices témoignant de forces d'impact plus grandes ont été relevés. Bien que la manutention brusque joue un rôle dans les défaillances de longrines tronquées, il est probable que le milieu d'exploitation ferroviaire que nous connaissons aujourd'hui contribue aussi à ces défaillances.

    Les conditions d'exploitation des trains ont beaucoup changé depuis quelques années. Avant le milieu des années 1990, époque à laquelle les longrines tronquées de modèle UTLZBN ont été construites, les trains affectés au service en voie principale avaient une longueur moyenne de 5000 pieds environ et un poids moyen de 6000 à 7000 tonnes. Or, de nos jours, certains trains mesurent plus de 12 000 pieds et pèsent plus de 10 000 tonnes. L'augmentation importante de la longueur et du poids moyens des trains a donné lieu à des augmentations des forces normales exercées sur les trains, particulièrement dans le cas des trains conventionnels tirés par des groupes de traction placés en tête de train. En conséquence, le BST a déterminé que « la conduite de trains plus longs et plus lourds » constituait un problème de sécurité, et il a ajouté ce problème à sa liste de surveillance en mars 2010.

    Au fur et à mesure des évolutions de l'exploitation ferroviaire, l'industrie et les organismes de réglementation devront améliorer les critères de conception du matériel roulant pour faire en sorte qu'ils évoluent au même rythme que les changements opérationnels. Pour ce faire, ils doivent notamment surveiller de près les modèles plus anciens, comme les longrines tronquées de modèle UTLZBN, pour veiller à ce que le niveau de sécurité soit équivalent. Le Bureau craint que les longrines tronquées conçues selon des normes plus anciennes soient plus susceptibles de subir une défaillance en raison des trains plus longs et plus lourds qu'auparavant et de l'augmentation des forces qui s'exercent sur les trains.

    Le présent rapport met un terme à l'enquête du Bureau de la sécurité des transports du Canada (BST) sur cet événement. Le Bureau a autorisé la publication du rapport le .

    Visitez le site Web du BST (www.bst-tsb.gc.ca) pour plus d’information sur le BST, ses services et ses produits. Vous y trouverez également des liens vers d’autres organismes de sécurité et des sites connexes.

    Annexes

    Annexe A – Cas de rupture de longrine tronquée signalés par UTLX – de janvier 2004 à juin 2009

    Annexe B – Cas de fissuration et de rupture de longrine tronquée signalés au Canada par UTLX et le CN – de janvier 2004 à juin 2009

    Annexe C – Sigles et abréviations

    AAR
    Association of American Railroads
    BST
    Bureau de la sécurité des transports du Canada
    CGSB
    Canadian General Standards Board
    CN
    Canadien National
    DNH
    Do Not Hump (Ne doit pas passer à la butte)
    FRA
    Federal Railroad Administration des États-Unis
    ONU
    Organisation des Nations Unies système SRS système informatisé d’établissement des feuilles de route du CN qui fait partie du système Service Reliability Strategy (système Objectif fiabilité)
    TC
    Transports Canada
    TMD
    transport des marchandises dangereuses
    UP
    Union Pacific Railroad
    UTLX
    Union Tank Car Company
    WILD
    détecteur de défauts de roues (Wheel Impact Load Detector)