Rapport d’enquête sur la sécurité du transport aérien A20W0016

Perte de maîtrise en tangage à l’atterissage
Chemin de fer Canadien Pacifique
Bombardier CL-600-2B16 (Challenger 605), C-GKCP
Aéroport international de Calgary (Alberta)

Le Bureau de la sécurité des transports du Canada (BST) a enquêté sur cet événement dans le but de promouvoir la sécurité des transports. Le Bureau n’est pas habilité à attribuer ni à déterminer les responsabilités civiles ou pénales. Le présent rapport n’est pas créé pour être utilisé dans le contexte d’une procédure judiciaire, disciplinaire ou autre. Voir Propriété et utilisation du contenu.

Table des matières

    Résumé

    Le 23 février 2020, l’aéronef Bombardier CL-600-2B16 (Challenger 605) (immatriculation C-GKCP, numéro de série 5945) exploité par le Chemin de fer Canadien Pacifique a quitté l’aéroport international de Palm Beach, en Floride (États-Unis), en direction de l’aéroport international de Calgary (Alberta). Se trouvaient à son bord 3 membres d’équipage et 10 passagers.

    Au cours de la descente dans la région du Grand Calgary, l’équipage de conduite a sélectionné les volets à 20° et a immédiatement reçu un message d’avertissement « FLAPS FAIL » sur le système d’affichage des paramètres moteurs et d’alerte de l’équipage. L’équipage de conduite a demandé et reçu des vecteurs vers l’est pour retarder l’approche, puis a entrepris la procédure en cas de défaillance des volets prévue dans le manuel de référence rapide. L’aéronef a ensuite été remis dans la séquence en vue d’un atterrissage sans volets sur la piste 17R. L’aéronef a atterri à 14 h 34 (heure normale des Rocheuses). Pendant la course à l’atterrissage, l’équipage a sélectionné l’inversion de poussée maximale. L’assiette en tangage de l’aéronef a alors augmenté au point où l’aéronef a partiellement pris l’air pendant un bref moment, et la partie arrière du fuselage a heurté la piste. Au cours du rétablissement de l’assiette de cabré, le train d’atterrissage avant a heurté la piste violemment. L’aéronef a terminé sa course à l’atterrissage et a poursuivi sa route jusqu’à l’aire de stationnement prévue. Aucun des occupants de l’aéronef n’a été blessé, bien qu’il y ait eu des dommages importants à la partie avant du fuselage.

    1.0 Renseignements de base

    1.1 Déroulement du vol

    Le 23 février 2020, l’aéronef Bombardier CL-600-2B16 (Challenger 605) (immatriculation C-GKCP, numéro de série 5945) exploité par le Chemin de fer Canadien Pacifique (CP) a quitté l’aéroport international de Palm Beach (KPBI), en Floride (États-Unis), en direction de l’aéroport international de Calgary (CYYC) (Alberta). Se trouvaient à son bord 3 membres d’équipage (2 pilotes et 1 agent de bord) et 10 passagers. Le commandant de bord était le pilote aux commandes (PF) et occupait le siège de gauche. Le commandant en second était le pilote surveillant (PM) et occupait le siège de droite. L’aéronef est parti à 8 h 30Note de bas de page 1, comme prévu.

    Au cours de l’approche initiale vers la zone de CYYC, le PF a demandé le réglage des volets à 20°, que le PM a sélectionné. L’équipage de conduite a immédiatement reçu un message d’avertissement « FLAPS FAIL » sur le système d’affichage des paramètres moteurs et d’alerte de l’équipage (EICAS). Les données récupérées de l’enregistreur de données de vol (FDR) indiquent que les volets se sont déployés de 1° avant la défaillance.

    Le PM a entrepris la procédure en cas de défaillance des volets prévue dans le manuel de référence rapide (QRH). Pendant l’exécution de la procédure du QRH, le PM n’a pas énoncé de vive voix au PF les mises en garde publiées dans le corps de la procédure. Le PF a communiqué avec le contrôle de la circulation aérienne (ATC) pour l’aviser de l’état des volets et lui a demandé des vecteurs pour retarder l’approche. L’ATC a accédé à la demande, et l’aéronef s’est dirigé vers l’est pour que l’équipage de conduite puisse exécuter la liste de vérification en cas de défaillance des volets (annexe A).

    L’équipage de conduite a ensuite fait l’exposé de l’approche sans volets vers la piste 17R. D’après une masse à l’atterrissage de 33 000 livres, l’équipage de conduite a prévu une vitesse d’approche de VREFNote de bas de page 2 + 30 nœuds, ou 155 nœuds, et une vitesse VACNote de bas de page 3 de 160 nœuds.

    À 14 h 26, le PM a pris la relève des radiocommunications et a informé l’ATC que l’équipage était prêt pour la nouvelle approche à CYYC. L’ATC a autorisé l’aéronef à effectuer l’approche visuelle de la piste 17R et a demandé à l’équipage de conduite si une aide des services de sauvetage et lutte contre les incendies d’aéronefs (SLIA) était nécessaire. L’équipage de conduite a répondu qu’aucune aide n’était nécessaire. Après avoir franchi les 1000 pieds au-dessus du sol (AGL), le PF a désactivé le pilote automatique et s’est souvenu de désactiver l’automanetteNote de bas de page 4. Il a informé le PM qu’il l’avait fait. Le reste de l’approche finale s’est passé sans incident.

    L’aéronef a franchi le seuil de la piste 17R à une vitesse indiquée en nœuds (KIAS) de 165 et a atterri à 14 h 32 min 38 s, à environ 3000 pieds du seuil, à 154 KIAS.

    Environ 2,5 secondes après que le train d’atterrissage principal a touché la piste, le train d’atterrissage avant est entré en contact avec la piste. Deux secondes plus tard, alors que le manche était incliné vers l’avant à environ 2° (en piqué), le PF a déployé les inverseurs de poussée et a sélectionné l’inversion de poussée maximale. Environ 4,5 secondes plus tard, alors que les inverseurs de poussée étaient déployés et que les moteurs accéléraient à environ 60 % N1Note de bas de page 5, le nez de l’aéronef a commencé à se cabrer et le train d’atterrissage avant a quitté la piste, passant à un état sans poids sur les roues.

    À 14 h 32 min 51 s, alors que l’assiette en tangage et l’angle d’attaque augmentaient jusqu’à franchir respectivement les 13° et 22°, le PF a désélectionné l’inversion de poussée et a poussé le manche vers l’avant; toutefois, l’assiette en tangage et l’angle d’attaque ont brièvement continué d’augmenter. Simultanément, l’aéronef s’est incliné sur la droite à environ 3,5° et le train d’atterrissage principal gauche a brièvement quitté la surface de la piste.

    Lorsque l’assiette en tangage a augmenté jusqu’à un maximum de 16,9° et l’angle d’attaque a culminé à 28,9°, la partie arrière du fuselage de l’aéronef a heurté la piste et le conduit d’évacuation de carburant à l’arrière du fuselage s’est séparé de l’aéronef et est tombé sur la piste 17R à l’intersection de la voie de circulation U. Moins d’une seconde plus tard, le système antidécrochage a déclenché la fonction de pousseur de manche.

    Environ 1 seconde après l’activation du pousseur de manche, l’assiette en tangage diminuait à un taux élevé de 19° par seconde, et le PF a effectué une importante sollicitation en cabré sur le manche, allant à l’inverse du pousseur de manche. Malgré ces sollicitations, le train avant a heurté la piste avec un taux de tangage d’au moins 15° par seconde.

    Les 2 moteurs étaient à environ 55 % N1 et décéléraient. Les moteurs ont continué de décélérer et ont atteint la vitesse de ralenti 7,5 secondes plus tard. À ce moment, la vitesse indiquée de l’aéronef était de 65 KIAS (annexe B).

    L’aéronef a continué de décélérer jusqu’à atteindre la vitesse de circulation au sol. L’équipage ne savait pas que la partie arrière du fuselage était entrée en contact avec la piste et que le conduit d’évacuation de carburant s’était séparé de l’aéronef. L’équipage a reçu l’instruction de dégager la piste 17R en roulant, via la piste 26, jusqu’à la voie de circulation A, puis de rejoindre sa rampe de stationnement prévue. Après l’arrêt complet des moteurs et le dédouanement, les passagers et l’équipage ont débarqué par la porte d’entrée principale de la cabine. Aucune blessure n’a été signalée.

    Après l’événement, il y a eu 5 mouvements d’aéronefs sur la piste 17R avant que le conduit d’évacuation ne soit signalé à l’ATC. L’équipage d’un vol qui venait d’atterrir sur la piste 17R a constaté la présence d’un objet intrus (FOD) sur la piste et l’a signalée à l’ATC à 14 h 50. À la suite du signalement initial du FOD, l’ATC a informé les équipages de 2 vols ultérieurs qui se préparaient à atterrir sur la piste 17R de la présence de l’objet sur la piste. Les 2 vols ont poursuivi leur approche jusqu’à l’atterrissage. Un véhicule de l’aéroport a récupéré le conduit d’évacuation, et la piste était dégagée à 14 h 56. Au total, 7 mouvements d’aéronefs ont eu lieu avant que le conduit d’évacuation ne soit retiré de la piste, 23 minutes après l’événement.

    1.2 Personnes blessées

    Il n’y a pas eu de blessés.

    1.3 Dommages à l’aéronef

    L’événement déclencheur de l’événement à l’étude est la défaillance de l’arbre d’entraînement flexible de volet reliant les 2 vérins de volet intérieurs de gauche. Lorsque l’unité de contrôle des volets a détecté l’apparition d’une situation d’asymétrie potentielle des volets, le message d’avertissement « FLAPS FAIL » s’est affiché sur l’EICAS et le circuit des volets a cessé de fonctionner, limitant la possibilité que survienne une difficulté de maîtrise de l’aéronef causée par l’asymétrie des volets.

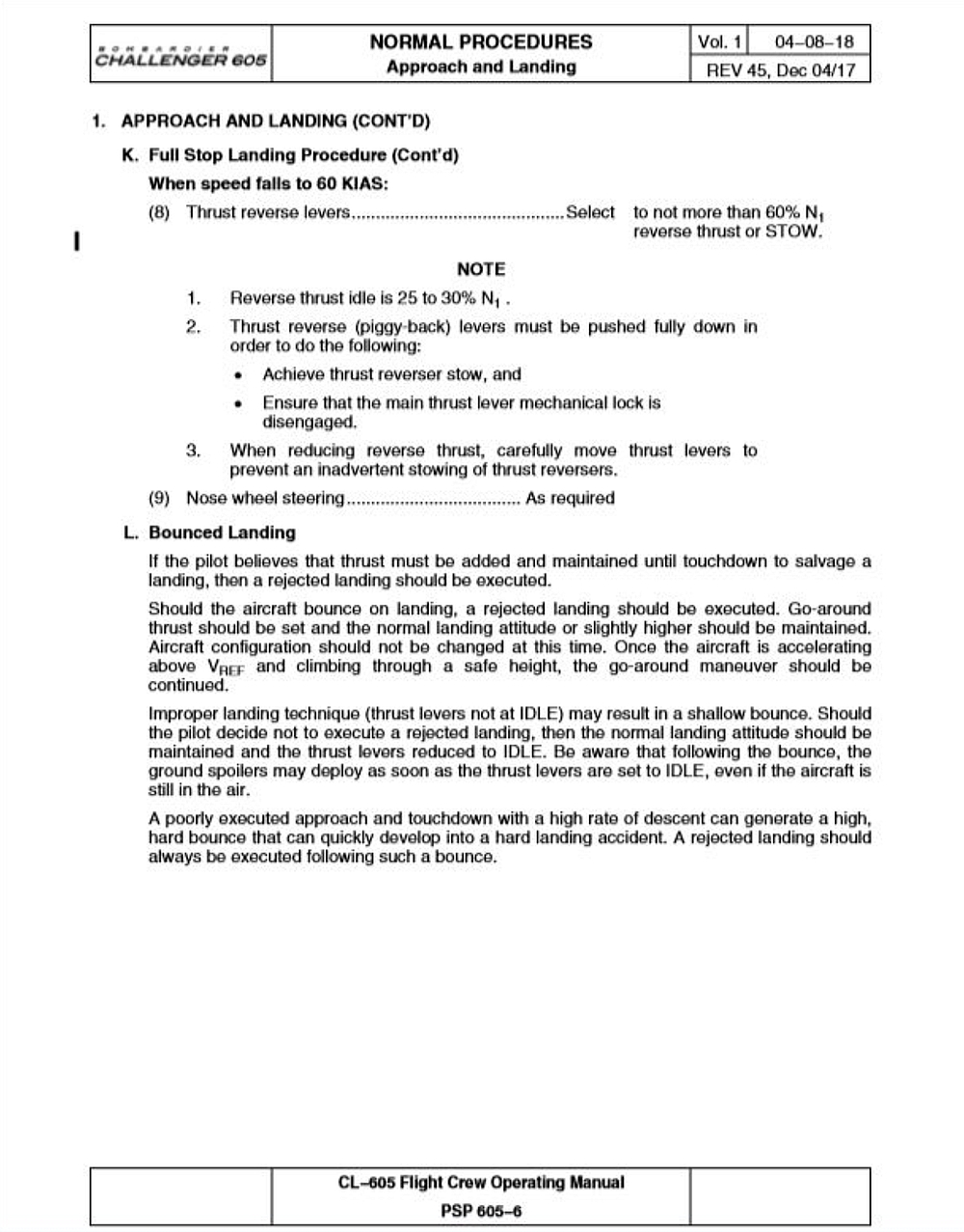
    Pendant la course à l’atterrissage, la partie arrière du fuselage et le cône arrière sont entrés en contact avec la surface de la piste. En conséquence, le conduit d’évacuation de carburant à l’arrière du fuselage s’est séparé de l’aéronef, et le revêtement intradorsal du carénage de la queue a subi d’importants dommages par abrasion (figure 1).

    Figure 1. Dommages à la partie arrière du fuselage (Source : Chemin de fer Canadien Pacifique)
    Image
    Dommages à la partie arrière du fuselage (Source : Chemin de fer Canadien Pacifique)

    Le conduit d’évacuation mesure environ 13 pouces de long, 8 pouces de haut et 3 pouces de large. Il pèse 1,1 livre. Il est construit principalement en composite de fibre de carbone, avec un tube en aluminium à l’intérieur. Le tube est raccordé au circuit carburant de l’aéronef.

    La partie inférieure du fuselage avant a subi d’importants dommages structurels lorsque le train d’atterrissage avant est entré en contact avec la piste après que l’aéronef s’était cabré. Les parois des parties inférieures gauche et droite du fuselage adjacentes au train d’atterrissage avant ont été déformées. Plusieurs couples de fuselage ont été endommagés dans le fuselage inférieur avant, et il y a eu déformation de la structure du caisson de torsion supérieur des trains d’atterrissage avant de gauche et de droite en raison de la surcharge subie lors de l’impact avec la piste.

    1.4 Autres dommages

    Aucun dommage à d’autres aéronefs ou biens n’a été signalé.

    1.5 Renseignements sur le personnel

    1.5.1 Généralités

    Les dossiers indiquent que les 2 membres de l’équipage de conduite possédaient les licences et les qualifications nécessaires au vol, conformément à la réglementation en vigueur. À la lumière de l’examen des horaires de travail et de repos des membres de l’équipage de conduite, la fatigue n’est pas considérée comme un facteur dans l’événement à l’étude. Les 2 membres de l’équipage de conduite étaient qualifiés comme commandants de bord sur le type d’aéronef et avaient déjà piloté l’aéronef à l’étude ensemble à de nombreuses reprises.

    Tableau 1. Renseignements sur le personnel
    Commandant de bord Commandant en second

    Licence de pilote

    Licence de pilote de ligne (ATPL)

    ATPL

    Date d’expiration du certificat médical

    1er avril 2020

    1er juin 2020

    Heures de vol total

    9478

    20 450

    Heures de vol sur type

    434

    953

    Heures de vol au cours des 7 jours précédant l’événement

    10,9

    10,9

    Heures de vol au cours des 30 jours précédant l’événement

    16,3

    24,4

    Heures de vol au cours des 90 jours précédant l’événement

    39,9

    40

    Heures de vol sur type au cours des 90 jours précédant l’événement

    39,9

    40

    Heures de service avant l’événement

    8

    8

    Heures hors service avant la période de travail

    63

    63

    1.5.2 Commandant de bord

    Le commandant de bord a commencé à travailler au CP le 15 décembre 2017. En plus de la qualification de type CL64 pour le Challenger 605, il était titulaire d’une qualification de type pour le Beech 1900D, le Cessna Citation Sovereign, le Hawker 125, le Dassault Falcon 2000 et le Swearingen Metroliner.

    Le commandant de bord a terminé avec succès la formation initiale pour la qualification de type CL64 le 17 février 2018. Il a aussi terminé la formation périodique pour la qualification de type CL64 avec un fournisseur de formation au pilotage aux États‑Unis le 6 février 2020. Pendant ce régime de formation, les procédures à suivre en cas de défaillance des volets – y compris pour l’atterrissage sans volets – ont fait l’objet d’exercices dans un simulateur de vol complet de niveau D. Le dossier de formation en vol du commandant de bord a montré que ce dernier avait été jugé compétent à l’exercice de configuration des volets.

    Le commandant de bord avait terminé sa dernière formation sur la gestion des ressources de l’équipage le 1er octobre 2019.

    1.5.3 Commandant en second

    Le commandant en second a commencé à travailler au CP le 7 avril 2006. En plus de la qualification de type CL64 pour le Challenger 605, il était titulaire d’une qualification de type pour les Cessna Citation 550, 560 et 680; le Dassault Falcon 50; et le Hawker 125.

    Le commandant en second a terminé avec succès la formation initiale pour la qualification de type CL64 le 24 février 2017. Il a terminé la formation périodique pour la qualification de type CL64 avec le commandant de bord le 6 février 2020. Le dossier de formation en vol du commandant en second a montré que ce dernier avait également été jugé compétent à l’exercice de configuration des volets.

    Le commandant en second avait terminé sa dernière formation sur la gestion des ressources de l’équipage le 12 mai 2019.

    1.5.4 Agent de bord

    L’agent de bord a commencé à travailler au CP en 2012 dans un autre rôle. Le 3 novembre 2017, il a terminé un premier programme de formation en ligne d’équipage de cabine et a commencé à effectuer des vols en tant que membre de l’équipage de cabine en 2018. L’agent de bord satisfaisait à toutes les exigences réglementaires en matière de formation pour exercer les fonctions d’agent de bord.

    1.6 Renseignements sur l’aéronef

    1.6.1 Généralités

    Le Bombardier Challenger 605 est un aéronef à voilure en flèche et empennage en T. Il est construit principalement en aluminium et est motorisé par 2 turboréacteurs montés en hauteur dans la partie arrière du fuselage. Le Challenger 605 est une évolution du Challenger 600, certifié à l’origine en août 1980, et est considéré comme un aéronef de transport. Le 31 janvier 2020, 1014 aéronefs de la série ChallengerNote de bas de page 6 étaient en service dans le monde entier.

    Tableau 2. Renseignements sur l’aéronef
    Constructeur

    Bombardier Inc. (anciennement Canadair)

    Type, modèle et immatriculation

    Challenger CL-600-2B16 (variante 604), C-GKCP

    Année de construction

    2013

    Numéro de série

    5945

    Date d’émission du certificat de navigabilité / permis de vol

    14 avril 2017

    Total d’heures de vol cellule/cycles

    1699,3 / 920

    Type de moteur (nombre)

    General Electric CF34-3B (2)

    Masse maximale autorisée au décollage

    21 863 kg

    Type(s) de carburant recommandé(s)

    Jet A, Jet A-1, Jet B

    Type de carburant utilisé

    Jet A

    L’aéronef était configuré pour un maximum de 3 membres d’équipage de conduite (2 sièges de pilote et 1 strapontin) et jusqu’à 12 passagers. L’aéronef à l’étude a reçu son certificat de navigabilité initial au moment de sa fabrication en juin 2013, est entré en service en février 2015 et a été acheté par le CP en 2017.

    Lorsque l’aéronef est entré en service en février 2015, il avait accumulé 27,3 heures de vol et fait 13 atterrissages. De février 2015 à la date de l’événement à l’étude, l’aéronef a effectué en moyenne 340 heures de vol par année. Par conséquent, entre le moment où l’aéronef a reçu son certificat de navigabilité initial en juin 2013 et la date de l’événement à l’étude, l’aéronef a effectué en moyenne 283 heures de vol par année et en moyenne 153 atterrissages par année.

    Les dossiers indiquent que l’aéronef était certifié, équipé et entretenu conformément aux règlements en vigueur et aux procédures approuvées. L’enquête a permis de déterminer que l’aéronef était exploité dans le respect des limites de masse et de centrage pendant le vol à l’étude.

    1.6.2 Circuit des volets

    1.6.2.1 Généralités

    Le circuit des volets du Challenger 605 comprend des panneaux des volets intérieurs (gauche et droite), des panneaux des volets extérieurs (gauche et droite), un bloc d’entraînement des volets, des arbres d’entraînement flexibles de volet (10), des vérins de volet (8), des unités de détection des freins volets (2), une unité de contrôle des volets et, dans le poste de pilotage, un levier de sélection des volets.

    En temps normal, le bloc d’entraînement des volets – situé dans le compartiment du train d’atterrissage principal – actionne les vérins de volet par l’intermédiaire des arbres d’entraînement flexibles de volet, et les volets sont maintenus dans la position sélectionnée par les unités de détection des freins volets. L’unité de contrôle des volets surveille le fonctionnement du système et, si l’unité détecte une défaillance dans un composant du circuit des volets, le message approprié est affiché à l’équipage de conduite sur l’EICAS, et le système est désactivé. Il n’y a pas d’autre moyen de faire fonctionner les volets. Les diverses séries d’aéronefs Challenger ont été examinées afin de comparer les numéros de pièce des arbres d’entraînement flexibles de volet. Il a été déterminé qu’aucun des numéros de pièce des arbres d’entraînement flexibles de volet du Challenger 605 n’avait changé par rapport au Challenger 600 d’origine.

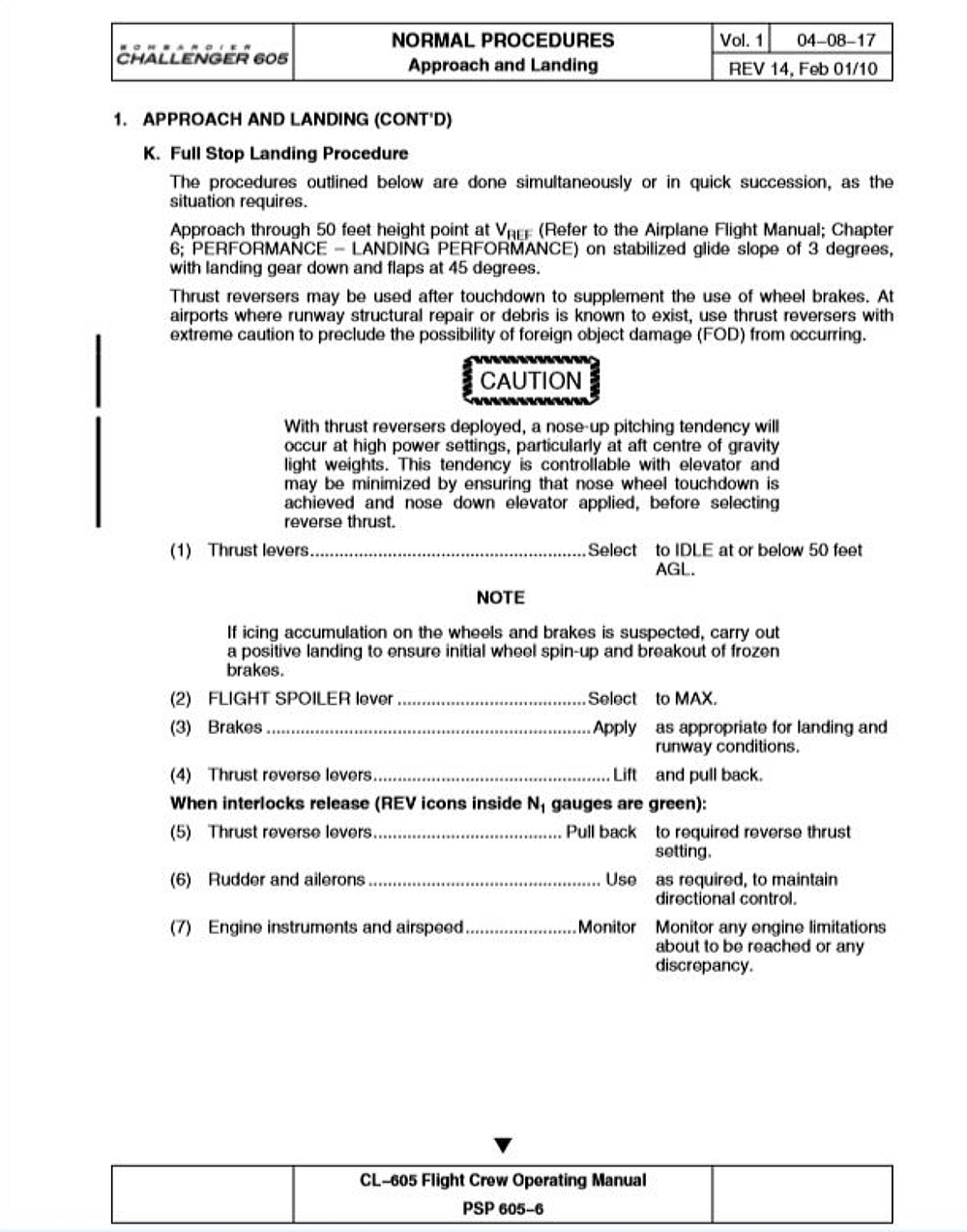
    Dans l’événement à l’étude, l’arbre d’entraînement flexible de volet de gaucheNote de bas de page 7 qui raccorde les vérins intérieur et extérieur du volet intérieur gauche s’est rompu là où le noyau interne flexible est serti à l’extrémité de l’arbre du vérin de volet extérieur (figure 2).

    Figure 2. L’arbre d’entraînement flexible de volet défectueux de l’aéronef à l’étude (Source : Chemin de fer Canadien Pacifique)
    Image
    L’arbre d’entraînement flexible de volet défectueux de l’aéronef à l’étude (Source : Chemin de fer Canadien Pacifique)
    1.6.2.2 Recommandations de maintenance du fabricant

    Le fabricant de l’aéronef publie un calendrier des tâches de maintenance requises et des intervalles auxquels elles doivent être effectuéesNote de bas de page 8. Les intervalles entre les tâches sont précisés en heures de vol, en cycles de vol, en période fixe ou en une combinaison de ces critères. Ils sont fondés sur une utilisation moyenne de l’aéronef de 500 heures de vol et de 300 cycles de vol dans 12 mois civils.

    Dans le cadre du programme de service à la clientèle de Bombardier, la compagnie assure un suivi actif de l’utilisation de la flotte pour l’ensemble de sa gamme de produits. Au cours des 12 mois civils qui ont pris fin le 31 janvier 2020, la flotte du Challenger 605 a affiché une utilisation annuelle moyenne de 275 heures de vol et de 144 atterrissagesNote de bas de page 9.

    1.6.2.2.1 Inspection des arbres d’entraînement flexibles de volet

    La tâche 275000-202 exige une inspection détaillée des arbres d’entraînement flexibles de volet à un intervalle de 2400 heures de volNote de bas de page 10. La tâche d’inspection doit être effectuée conformément à la tâche 27-53-07-220-801 du manuel de maintenance de l’aéronefNote de bas de page 11 et comprend le retrait et l’inspection visuelle du noyau interne de l’arbre d’entraînement flexible de volet. En cas de présence évidente de graisse sèche ou dure dans le noyau interne, le noyau doit être nettoyé, inspecté et entretenu avant d’être réinstallé dans l’aéronef.

    Au moment de l’événement, les arbres d’entraînement flexibles de volet avaient accumulé 1699,3 heures depuis leur mise en service initiale. Par conséquent, comme l’aéronef n’avait pas accumulé 2400 heures de vol, l’inspection n’avait pas été effectuée et n’était pas exigée. L’arbre d’entraînement flexible de volet en question aurait été inspecté dans une certaine mesure pour la dernière fois avant l’installation initiale dans l’aéronef lors de sa fabrication en 2013. Par conséquent, le personnel de maintenance n’avait jamais inspecté le composant en tant que tel.

    L’arbre d’entraînement flexible de volet défectueux a été envoyé au Laboratoire d’ingénierie du BST à Ottawa (Ontario) pour y être analysé afin de déterminer la raison de la défaillance de la pièce.

    Le Laboratoire d’ingénierie du BST a effectué un examen détaillé de la pièce, qui a révélé 2 trous de perforation dans la gaine extérieure protectrice sous la plaque signalétique de la pièce. Ces trous avaient probablement été percés par inadvertance pendant le processus de fabrication de l’ensemble de l’arbre d’entraînement, lors de la pose de la plaque signalétique. Ces trous auraient permis une infiltration d’humidité dans la cavité de la gaine de l’arbre d’entraînement flexible de volet, permettant à la corrosion de commencer. De plus, les segments intérieur et extérieur de l’arbre d’entraînement intérieur affichaient une importante corrosion et un manque de lubrification.

    Lorsqu’il y a un raccordement mécanique dans un composant ou un circuit, il y a une possibilité qu’un environnement scellé soit compromis. Dans le cas présent, l’environnement scellé est la partie intérieure de la gaine de l’arbre d’entraînement de volet où le noyau de l’arbre d’entraînement flexible se trouve et est en rotation. L’ensemble de l’arbre d’entraînement flexible de volet est raccordé au moyen d’un écrou de fixation fileté aux ensembles de vérins de volet intérieur et extérieur du panneau du volet intérieur de gauche. Il y a dès lors une zone d’infiltration potentielle dans l’environnement scellé. S’il y a un joint imparfait entre la face du vérin de volet et la face de la gaine de l’arbre d’entraînement flexible de volet, l’humidité et d’autres contaminants peuvent pénétrer dans le noyau de la gaine de l’arbre d’entraînement et il peut s’ensuivre une corrosion du noyau de l’arbre d’entraînement.

    1.6.2.3 Rapports de difficultés en service

    Un examen du Système Web de rapports de difficultés en service de Transports Canada (TC) pour la période de 1986 à 2020 a révélé 4 casNote de bas de page 12 (y compris le rapport pour l’aéronef à l’étude) de problèmes de service avec les arbres d’entraînement flexibles de volet installés dans la série d’aéronefs Challenger 600 qui ont nécessité de remplacer la pièce (annexe C).

    Entre mai 2016 et mai 2020, Bombardier a vendu 484 arbres d’entraînement flexibles de volet aux clients et aux exploitants de la série Challenger 600 (tableau 3). On n’a pas pu déterminer sur quelle série d’aéronefs les diverses pièces étaient installées, quel était le défaut trouvé faisant qu’il fallait remplacer la pièce, ou encore quel était le temps de service de la pièce lorsqu’elle a dû être remplacée.

    Tableau 3. Nombre d’arbres d’entraînement flexibles de volet vendus aux clients et aux exploitants du Challenger de mai 2016 à mai 2020 (Source : Bombardier Inc.)
    Numéro de pièce de Bombardier (numéro de pièce du vendeur) Unités vendues

    600-93000-61 (2022264-6)

    154

    600-93000-63 (2022264-7)

    67

    600-93000-65 (2022264-8)

    110

    600-93000-67 (2022264-9)

    57

    600-93000-69 (2022264-10)

    96

    Total

    484

    1.6.3 Procédures d’atterrissage

    Les procédures d’atterrissage sont décrites dans les documents suivants de Bombardier :

    • le manuel de vol (AFM);
    • le manuel d’exploitation de l’équipage de conduite (FCOM);
    • le manuel de référence rapide (QRH).

    L’AFM et le FCOM décrivent les limites, les procédures d’exploitation et les capacités opérationnelles de l’aéronef, et ils orientent l’équipage de conduite sur les procédures d’exploitation recommandées pour l’aéronef Challenger 605 dans les opérations normales, anormales et d’urgence. Le QRH contient des listes de vérification pour les procédures anormales et d’urgence. Les listes de vérification sont conçues pour fournir à l’équipage de conduite des renseignements importants et ponctuels dans une forme abrégée afin que des mesures cruciales puissent être prises rapidement et correctement, de façon à réduire le risque d’exploiter un aéronef dans un état anormal.

    La procédure normale pour un atterrissage à arrêt complet est décrite dans le FCOMNote de bas de page 13. Le tableau 4 est une version simplifiée de la procédure.

    Tableau 4. Simplification de la procédure normale d’atterrissage à arrêt complet à pleins volets, et actions typiques liées à la conduite de l’aéronef (voir à l’annexe D la procédure complète telle qu’elle est présentée dans le manuel d’exploitation de l’équipage de conduite)
    Vitesse Étape Commande Mesures à prendre Actions typiques

    Plus de 60 KIAS

    1

    Leviers de poussée

    Sélectionner le régime au ralenti à 50 pieds ou moins

    - Préparer l’approche et atterrir

    - Train principal posé au sol

    - Relâcher le manche pour poser le train avant au sol

    - Train avant posé au sol

    2

    Déporteurs vol

    Sélectionner

    Au maximum

    3

    Freins

    Appliquer

    Selon les conditions de la piste

    4

    Inversion de poussée

    Soulever (et tirer)

    - Pression vers l’avant pour maintenir le nez au sol (gouverne de profondeur en piqué appliquée)

    - Sélectionner (ajuster)

    5

    Inversion de poussée

    Tirer (et fixer)

    - Pression vers l’avant pour maintenir le nez au sol (gouverne de profondeur en piqué appliquée)

    - Sélectionner (ajuster)

    6

    Ailerons de gouverne de direction

    Utiliser

    Selon les besoins

    7

    Instruments et vitesse

    Surveiller

    Respecter les limites

    60 KIAS ou moins

    8

    Inversion de poussée

    Sélectionner

    Réduire ou rentrer

    9

    Direction du train avant

    Utiliser

    Selon les besoins

    La procédure d’atterrissage à arrêt complet comprend la mise en garde suivante pour souligner les caractéristiques particulières de commande de l’aéronef [traduction] :

    MISE EN GARDE

    Une fois les inverseurs de poussée déployés, une tendance de tangage en cabré se produira avec des réglages de haute puissance, en particulier avec un centre de gravité vers l’arrière [et] un poids léger. Cette tendance est contrôlable au moyen de la gouverne de profondeur et peut être réduite au maximum en s’assurant que la roue avant a touché le sol et que la gouverne de profondeur en piqué est appliquée avant de sélectionner l’inversion de pousséeNote de bas de page 14.

    Cette même mise en garde est incluse dans les procédures anormales en cas de défaillance des volets, décrites dans l’AFMNote de bas de page 15 et le FCOMNote de bas de page 16. Ces documents comprennent également la mise en garde suivante [traduction] :

    MISE EN GARDE

    Une technique d’atterrissage inadéquate pendant une défaillance des volets peut générer des charges de train avant suffisantes pour causer des dommages structurels.

    Pour éviter les dommages :

    Le QRH comprend la mise en garde suivante entre les étapes 12 et 13 [traduction] :

    MISE EN GARDE : L’ATS [système d’automanette] ne passera pas au mode atterrissage et ne retardera pas les leviers de poussée à 50 pieds AGLNote de bas de page 19.

    De plus, le QRH comprend ces mises en garde après l’étape 14 [traduction] :

    MISE EN GARDE :

    1. Une technique d’atterrissage inadéquate pendant une défaillance des volets peut générer des charges de train avant suffisantes pour causer des dommages structurels.

      Pour éviter les dommages :

      • Après que le train principal a touché le sol, abaisser doucement le nez jusqu’à la piste.
      • Appliquer les freins seulement après que la roue avant a touché le sol.
    2. Avant de sélectionner l’inversion de poussée, s’assurer que la roue avant a touché le sol et que la gouverne de profondeur en piqué est appliquéeNote de bas de page 20.

    Aucun de ces documents ne précise le niveau de pression ou de sollicitation des commandes à la gouverne de profondeur qui est nécessaire avant de sélectionner l’inversion de poussée pendant l’atterrissage.

    Pendant l’exécution de la liste de vérification du QRH, le PM n’a pas communiqué ces mises en garde au PF.

    1.6.4 Évaluation opérationnelle du Bombardier Challenger 605

    En 2006, une évaluation opérationnelle du Bombardier Challenger 605 a été effectuée par des représentants de TC, de la Federal Aviation Administration (FAA) des États-Unis et de l’Agence européenne de la sécurité aérienne (AESA) / Autorités conjointes de l’aviation.

    À la suite de l’évaluation, la FAA et l’AESA / Autorités conjointes de l’aviation ont publié des rapports qui définissent les exigences en matière de formation et de formation croisée que les pilotes doivent suivre pour obtenir la qualification de type d’aéronef appropriée pour le Challenger 604 / Challenger 605. Les rapports fournissent également de l’information sur les éléments du programme de formation qui devraient recevoir une attention particulière. En ce qui concerne les approches et les atterrissages sans volets, les rapports indiquent ce qui suit [traduction] :

    […] les demandeurs d’une qualification de type pour cet aéronef doivent démontrer des approches et des atterrissages sans volets jusqu’à un arrêt complet. La sortie des volets de bord de fuite de l’aéronef est actionnée par le système électrique, et il n’y a pas d’autre moyen de faire fonctionner les volets en cas de panne du système électrique. L’aéronef a une vitesse d’approche et d’atterrissage relativement élevée et a tendance à « flotter » si la technique normale de l’arrondi d’atterrissage est employée. Le déploiement de l’inverseur de poussée au cours d’un atterrissage sans volets a tendance à faire en sorte que l’aéronef se cabre, ce qui nécessite une importante sollicitation par le pilote pour maintenir le contact de la roue avant avec la pisteNote de bas de page 21 ,Note de bas de page 22.

    TC n’a pas publié de rapport de comité d’évaluation opérationnelle pour le Challenger 604/605 après l’évaluation.

    1.7 Renseignements météorologiques

    Le message d’observation météorologique régulière d’aérodrome (METAR) pour CYYC, publié à 14 h et valide au moment de l’événement, indiquait ce qui suit :

    • vents du 120° vrai à 9 nœuds;
    • visibilité de 40 milles terrestres;
    • nuages fragmentés à 2500 pieds, 9000 pieds et 25 000 pieds AGL;
    • température de 0 °C;
    • calage altimétrique de 29,68 pouces de mercure.

    Les conditions météorologiques ne sont pas considérées comme un facteur dans l’événement à l’étude.

    1.8 Aides à la navigation

    Sans objet.

    1.9 Communications

    Sans objet.

    1.10 Renseignements sur l’aérodrome

    1.10.1 Généralités

    CYYC est l’un des aéroports les plus achalandés du Canada selon le nombre de passagers. En 2019, il a accueilli 18 millions de passagers. Bien que l’installation aéroportuaire dispose actuellement de 4 pistes utilisables, la majorité des vols arrivant à CYYC et en partant utilisent l’une ou l’autre des 2 principales pistes nord/sud (17L/35R et 17R/35L). La piste 17R/35L est asphaltée et fait 12 675 pieds de long et 200 pieds de large. Aucun système automatisé de détection des FOD n’est installé à l’installation aéroportuaire, ce qui n’est d’ailleurs pas requis. L’aéroport dispose toutefois de protocoles de surveillance des terrains de l’aéroport et des zones de mouvement des aéronefs afin de détecter et de retirer les FOD.

    1.10.2 Détection des objets intrus sur les pistes

    L’administration aéroportuaire de Calgary a élaboré un programme d’inspection, qui est inclus dans son manuel d’exploitation d’aéroport accepté par TC, afin de maintenir de façon proactive un environnement d’exploitation sécuritaire à l’aéroport. Conformément au programme, les pistes sont inspectées au moins 4 fois par jour. Un spécialiste des opérations d’aérodrome parcourt la piste en véhicule pour effectuer une inspection visuelle de l’état de la surface de la piste et pour détecter tout objet intrus qui pourrait être présent. Une attention particulière est portée aux 100 pieds au centre de la piste. Les résultats de l’inspection sont ensuite saisis dans le système de suivi informatique de l’aéroportNote de bas de page 23.

    Le 23 février 2020, la dernière inspection visuelle de la piste 17R/35L avant l’accident a eu lieu à 8 h 40, soit un peu moins de 6 heures avant l’accident.

    1.11 Enregistreurs de bord

    L’aéronef à l’étude était équipé d’un enregistreur de conversations de poste de pilotage (CVR) et d’un FDR. Les 2 enregistreurs étaient situés dans le compartiment de l’équipement arrière (partie arrière du fuselage) de l’aéronef. Ils ont été retirés et envoyés au Laboratoire d’ingénierie du BST à Ottawa (Ontario) pour que les données soient téléchargées et analysées.

    L’enregistrement audio du CVR a été jugé de bonne qualité.

    En plus de l’atterrissage à l’étude, les données des 12 atterrissages précédents ont également été téléchargées du FDR aux fins d’observation et d’analyse.

    1.12 Renseignements sur l’épave et sur l’impact

    Sans objet.

    1.13 Renseignements médicaux et pathologiques

    Selon l’enquête, rien ne donne à croire que des facteurs médicaux, pathologiques ou physiologiques aient pu nuire au rendement du commandant de bord ou du commandant en second.

    1.14 Incendie

    Aucun incendie n’est survenu.

    1.15 Questions relatives à la survie des occupants

    Sans objet.

    1.16 Essais et recherche

    1.16.1 Rapports de laboratoire du BST

    Le BST a produit le rapport de laboratoire suivant dans le cadre de la présente enquête :

    • LP057/2020 – Flap Flexible Drive Shaft Failure Analysis [analyse de la défaillance de l’arbre d’entraînement flexible de volet]

    1.17 Renseignements sur les organismes et sur la gestion

    Le service des vols du CP est exploité en vertu de la sous-partie 604 du Règlement de l’aviation canadien (RAC)Note de bas de page 24 et est titulaire d’un document d’enregistrement d’exploitant privé (DEEP) délivré par TC le 26 juin 2018. Le service des vols exploite et maintient 2 aéronefs : l’aéronef à l’étude et un Cessna Citation 680 Sovereign. Le service exerce ses activités à partir d’une installation commerciale d’exploitant de services aéronautiques à CYYC.

    1.17.1 Manuel d’exploitation de la compagnie

    Conformément à la réglementationNote de bas de page 25, le CP dispose d’un manuel d’exploitation de la compagnie qui définit le fonctionnement du service des vols et indique qui sont les principaux employés du service et quels sont leurs rôles et leurs responsabilités au sein du service.

    1.17.2 Procédures d’utilisation normalisées du Challenger 605

    Le service des vols du CP a des procédures d’utilisation normalisées (SOP) spécifiquement conçues pour l’exploitation du Challenger 605. Au moment de l’événement, le document était relativement nouveau pour l’organisation, ayant été publié pour la première fois le 30 décembre 2019. Le document vise [traduction] :

    1. à préciser et à décrire les tâches et les fonctions standard de l’équipage de conduite pour chaque phase du vol;
    2. à aider les pilotes du CP à exploiter le CL605 [Challenger 605] dans les limites de l’AFMNote de bas de page 26.

    Le document note également ce qui suit [traduction] :

    Les SOP (y compris les annonces standard) constituent la référence pour la normalisation de l’équipage et fournissent l’environnement de travail requis pour une communication et une coordination améliorées et efficientes au sein de l’équipageNote de bas de page 27.

    Les SOP abordent la coordination des membres de l’équipage en cas de situations anormales et d’urgence et comprennent une section portant spécifiquement sur les exposés à l’intention des passagers, qui met l’accent sur le besoin et le droit des passagers de savoir ce qui se passe dans une situation d’urgence. Le document précise en outre que les passagers devraient recevoir un résumé honnête et exact de la situation dans le but d’inspirer confiance en l’équipage de conduite, et que l’exposé doit comprendre des instructions jugées appropriées selon les circonstances de la situation anormale ou d’urgenceNote de bas de page 28.

    Lors de l’événement à l’étude, l’équipage de conduite n’a jamais informé les passagers ou l’agent de bord de l’état anormal de l’aéronef ou de la configuration d’atterrissage différente.

    1.17.3 Procédures à l’intention des agents de bord

    Même si le règlement ne l’exigeait pasNote de bas de page 29, le CP affectait parfois un agent de bord à l’équipage du Challenger. La compagnie a fourni une formation à son agent de bord conformément aux dispositions énoncées dans une exemption de TCNote de bas de page 30, qui lui permettait de former son agent de bord à un niveau équivalent à celui des personnes tenues d’exécuter des tâches à bord, ce niveau étant énoncé au paragraphe 724.115(30) des Normes de service aérien commercial.

    Ni le manuel d’exploitation de la compagnie ni les SOP du Challenger 605 ne précisent les tâches ou les responsabilités particulières de l’agent de bord, ni ne recommandent de stratégies sur la façon dont l’équipage de conduite devrait faire appel à un agent de bord dans des situations normales ou anormales.

    1.18 Renseignements supplémentaires

    1.18.1 Aéronefs de la série Canadair Regional Jet 100/200

    À la fin des années 1980, Canadair a commencé à mettre au point un avion de transport régional à réaction de 50 places basé sur la cellule et les circuits de la série Challenger 600. L’aéronef, désigné sous le nom de Canadair Regional Jet (CRJ), a effectué son premier vol en mai 1991.

    Puisque le CRJ était basé sur la série d’aéronefs Challenger, les 2 types d’aéronefs ont de nombreuses conceptions de circuits d’aéronef semblables, dont le circuit des volets. Le bloc d’entraînement des volets, les arbres d’entraînement flexibles de volet et les vérins de volet avaient à l’origine une conception semblable. Cependant, l’expérience en service des exploitants de CRJ a nécessité des modifications à la conception du circuit d’entraînement des volets en vue d’améliorer la fiabilité et de réduire le temps d’arrêt imprévu de l’aéronef, à mesure que le circuit gagnait en maturité.

    Par conséquent, on peut faire certaines comparaisons entre les 2 aéronefs et leurs circuits des volets respectifs ainsi que leurs exigences de maintenance.

    1.18.1.1 Exigences de maintenance

    Les arbres d’entraînement flexibles de volet du CRJ sont soumis aux mesures de maintenance suivantes :

    • une inspection externe détaillée des arbres d’entraînement flexibles de volet à un intervalle de 1500 heures de volNote de bas de page 31;
    • la lubrification du circuit des volets, y compris de l’arbre d’entraînement flexible, qui nécessite également une inspection détaillée du noyau interne de l’arbre d’entraînement flexible de volet, à un intervalle de 4000 heures de volNote de bas de page 32;
    • une inspection détaillée du noyau des arbres d’entraînement flexibles de volet à un intervalle de 5000 heures de volNote de bas de page 33. Cela comprend une inspection visuelle de la surface d’étanchéité des vérins de volet, et la fiche de tâches précise les zones où une infiltration d’eau peut se produire en raison de dommages causés à la surface d’étanchéité (annexe E).
    1.18.1.1.1 Bulletin de service

    En juillet 2007, après avoir déterminé que la contamination interne était un important problème en service pour les aéronefs de la série CRJ 100/200, Bombardier a publié un bulletin de serviceNote de bas de page 34,Note de bas de page 35 accompagné d’instructions d’inspection des arbres d’entraînement flexibles de volet et des vérins de volet afin d’y déceler toute contamination. Le bulletin de service comprenait les procédures suivantes [traduction] :

    • Effectuer une inspection détaillée, éliminer l’humidité, nettoyer et lubrifier les arbres d’entraînement flexibles. Au besoin, installer une nouvelle rondelle d’étanchéité en métal.
    • Effectuer un essai de pression pour détecter toute fuite dans les arbres d’entraînement flexiblesNote de bas de page 36.

    Ce bulletin de service a présenté un certain nombre de mesures de maintenance et d’améliorations des produits destinées à accroître la fiabilité des arbres d’entraînement flexibles de volet et des vérins de volet. Ces mesures comprenaient les suivantes :

    • installer un nouveau joint d’étanchéité entre la gaine de l’arbre d’entraînement de volet (numéro de pièce spécifique) et la gaine du vérin de volet pendant l’installation;
    • appliquer un matériau d’étanchéité aux 2 côtés du joint installé si des dommages mineurs ont été observés sur les surfaces d’étanchéité de la gaine de l’arbre d’entraînement ou du vérin de volet;
    • augmenter la torsion de l’écrou de fixation de l’arbre d’entraînement de volet, passant de 70 à 80 pouces-livres à 160 à 180 pouces‑livres;
    • effectuer un essai de pression de la gaine de l’arbre d’entraînement pour s’assurer qu’il n’y a pas de fuites qui pourraient permettre à l’humidité de pénétrer dans l’ensemble de l’arbre d’entraînement;
    • effectuer un essai de torsion à basse température des vérins de volet.

    Une recherche dans les rapports de difficultés en service liés au mauvais fonctionnement des volets directement attribuable à une défaillance de l’arbre d’entraînement flexible de volet a permis d’obtenir les données présentées à la figure 3. Le nombre de rapports de difficultés en service a diminué sensiblement à partir de 2009, mais il n’a pas été possible de déterminer si c’est en conséquence des mesures prescrites dans le bulletin de service ou d’une réduction de l’utilisation de la flotte à l’échelle mondiale.

    Figure 3. Événements de mauvais fonctionnement des volets de la série Canadair Regional Jet 100/200 causé par une défaillance de l’arbre d’entraînement flexible de volet, par année (Source : BST)
    Image
     Événements de mauvais fonctionnement des volets de la série Canadair Regional Jet 100/200 causé par une défaillance de l’arbre d’entraînement flexible de volet, par année (Source : BST)

    1.18.2 Gestion des ressources de l’équipage

    La gestion des ressources de l’équipage (CRM) vise à réduire l’erreur humaine en aviation. La CRM est largement reconnue comme étant l’utilisation de tous les moyens humains, matériels et d’information mis à la disposition de l’équipage de conduite pour assurer des opérations aériennes sûres et efficaces. Une CRM efficace encourage l’équipage de conduite à utiliser toutes les ressources à sa disposition pour gérer efficacement les procédures normales et d’urgence. À cette fin, un agent de bord serait considéré comme une ressource à la disposition de l’équipage de conduite pour lui permettre de fonctionner efficacement en équipe et de mieux composer avec des situations non routinières (anormales).

    Le CP fournissait une formation en CRM aux 2 membres de l’équipage de conduite chaque année et à l’agent de bord tous les 3 ans. Le contenu du matériel de formation en CRM n’est pas précisé dans la réglementation. La formation était dispensée par un tiers.

    1.18.3 Utilisation des listes de vérification

    Les listes de vérification sont des sources d’information cruciales qui offrent aux pilotes des lignes directrices d’exploitation générale de l’aéronef. Elles aident les pilotes à prendre des décisions et leur fournissent des solutions toutes faites à diverses situations. Elles tiennent également compte de facteurs de risque qui pourraient ne pas être évidents pour le pilote au cours de l’exploitation normale ou dans une situation anormale ou d’urgence. La discipline relative aux listes de vérification consiste à suivre la liste de vérification ou la procédure appropriée, qui indique aux pilotes la ligne de conduite la plus sécuritaire et la plus efficace dans la plupart des cas.

    Le QRH du Challenger 605 donne plus d’information sur les éléments auxquels il faut porter une attention particulière par une note, une mise en garde ou un avertissement. Le QRH explique la différence entre les 3, par ordre d’importance croissante, comme suit [traduction] :

     

    NOTE : Renseignements qui mettent l’accent sur des aspects d’une procédure et qui peuvent être liés à la sécurité.

    Image

    MISE EN GARDE : Renseignements jugés importants et susceptibles d’avoir une incidence négative sur le résultat sécuritaire de la procédure ou d’entraîner des effets négatifs ou des dommages si l’équipage n’en tient pas compte.

    Image

    AVERTISSEMENT : Renseignements jugés essentiels au résultat sécuritaire de la procédure et susceptibles d’entraîner des blessures ou des pertes de vie s’ils ne sont pas suivisNote de bas de page 37.

    Plusieurs rapports d’enquête antérieurs du BST ont relevé des problèmes liés à l’utilisation de listes de vérification (en particulier, la discipline relative aux listes de vérification)Note de bas de page 38.

    1.18.4 Performance humaine

    1.18.4.1 Acquisition des connaissances, des règles et des compétences

    L’exécution axée sur les connaissances est en grande partie consciente; elle a lieu à mesure que les personnes doivent affronter de nouvelles situations et les résultats qu’elles produisent. Durant la progression de la formation, les règles qu’elles apprennent entraînent une exécution conditionnelle (« si… alors ») plus réguléeNote de bas de page 39. Avec l’expérience, la performance devient plus automatique, la personne réagissant de manière appropriée lorsqu’elle perçoit des indices pertinents; par exemple, lorsque A se produit, la personne exécute B. De même, si A ne se produit pas, B ne se produira pas. C’est ainsi qu’une personne élabore un modèle mental des situations et des circonstances dans lesquelles elle évolue.

    Le fait d’avoir un modèle mental exact aide une personne à filtrer et à organiser de grandes quantités de renseignements rapidement et sans erreur, et à agir en conséquenceNote de bas de page 40. Le fait de s’exercer à des tâches qui sont exécutées moins fréquemment ou qui sont moins familières, comme des procédures anormales, permet à une personne de développer, dans une certaine mesure, les compétences requises pour exécuter les actions. Lorsqu’un scénario nécessite l’exécution de ces tâches moins familières, les personnes se fient à des sollicitations de la mémoire pour amorcer la séquence d’actions appropriée. La formation aide la personne à élaborer le modèle mental, ce qui lui permet d’anticiper la charge de travail et les conséquences potentielles des tâches à venirNote de bas de page 41.

    La formation organisationnelle et des procédures opérationnelles et d’urgence documentées sont essentielles pour communiquer et renforcer les connaissances et les règles requises. Toutefois, si ces documents et/ou cette formation ne décrivent pas exactement les connaissances ou les règles requises, la performance réelle peut différer de ce qui est requis. De plus, en l’absence de système permettant de saisir ces écarts de performance, une pratique répétée ne fera que renforcer et solidifier de telles habitudes comportementales (incorrectes).

    Lorsqu’il exécute physiquement une tâche, comme la sollicitation du manche et le pilotage de l’aéronef pendant une défaillance des volets, un pilote apprend les actions spécialisées associées à cette tâche. Avec la pratique, ces actions motrices créent une mémoire motrice et le pilote développe les compétences requisesNote de bas de page 42. Pendant ce processus, la réalisation de chaque étape entraîne automatiquement celle de l’étape suivante en exigeant un minimum de ressources attentionnelles. Ce processus d’acquisition de compétences est particulièrement important lorsque le pilote doit s’acquitter de ses fonctions pendant une procédure anormale ou une urgence, dans des conditions de charge de travail élevée. Dans de telles circonstances, le pilote formé, alors que le temps et la capacité cognitive sont limités, est plus susceptible de pouvoir exécuter la tâche rapidement, avec précision et sans devoir trop réfléchir.

    À l’inverse, si un pilote ne s’adonne pas à une tâche physique assez souvent pour que se développe une mémoire motrice et qu’il puisse l’exécuter avec un minimum de ressources attentionnelles, l’exécution de la tâche peut être affectée négativement ou peut ne pas se produire du tout en situation de stress. De plus, si une tâche moins fréquemment exécutée est trop semblable à une autre tâche bien pratiquée pour laquelle le pilote a une bonne mémoire motrice, ce sont plutôt les actions liées à la tâche davantage maîtrisée qui peuvent être déclenchées.

    1.18.4.2 Sollicitation de connaissances, de règles et de compétences

    Lorsqu’on acquiert des connaissances, des règles et des compétences pour des tâches en particulier, certains de ces renseignements sont traités et stockés dans la mémoire à long terme et les personnes n’ont pas à relire la procédure pour se souvenir des étapes à suivre chaque fois que la tâche est exécutéeNote de bas de page 43. Il en va ainsi notamment pour les tâches qui sont pratiquées régulièrement, comme le pilotage d’un aéronef pendant les procédures d’atterrissage normales.

    Dans le cas des tâches qui sont exécutées moins fréquemment, la documentation opérationnelle, comme le QRH, aide à se rappeler rapidement les tâches et les étapes particulières et l’ordre dans lequel les étapes doivent être exécutées. Les pilotes peuvent ainsi fonctionner dans un éventail de scénarios et y réagir, puisqu’ils ne sont pas limités aux tâches dont ils se souviennent parfaitement.

    Toutefois, lorsque des scénarios moins familiers se produisent, si de telles sollicitations ne sont pas fournies ou déclenchées, la performance peut ne pas se produire ou peut être incorrecteNote de bas de page 44. Cela est particulièrement vrai dans le cas des tâches pour lesquelles une mémoire motrice ne s’est pas formée par une pratique répétée.

    1.18.4.3 Biais cognitif et prise de décisions

    L’organisation et la simplification de l’information allègent le fardeau imposé à la capacité de traitement de l’information. Bien qu’une telle gestion de l’information puisse favoriser un rendement efficace dans certaines conditions, elle peut parfois se traduire par des biais prononcés en matière de performance qui mènent à des décisions et des hypothèses non sécuritaires.

    Un exemple de biais dans la prise de décisions est la disponibilité heuristique, qui est centrée sur le moment de l’expérience d’une personne, [traduction] « en ce sens que de manière générale, on se rappelle plus facilement de conditions ou d’événements plus récents dans le mondeNote de bas de page 45 ». Autrement dit, la personne peut faire une hypothèse ou poser un diagnostic en fonction d’expériences plus récentes, par exemple, des procédures anormales récentes dans un simulateur.

    En règle générale, plus la personne est incertaine au sujet de sa décision ou du diagnostic d’une situation, plus il est probable qu’elle cherche à obtenir davantage de renseignements. Cependant, [traduction] « si l’on est plus confiant que nécessaire dans la justesse de son hypothèse, il est peu probable que l’on cherche à obtenir des renseignements supplémentairesNote de bas de page 46 ». C’est ce qu’on appelle le biais d’excès de confiance, et « la fausse hypothèse peut être extrêmement résistante à toute correctionNote de bas de page 47 », en particulier lorsque l’expectative est élevée et que l’attention est détournée ailleurs dans le vol.

    1.18.5 Certification des simulateurs de vol

    Les simulateurs de vol complets sont actuellement cotés selon 4 niveaux, du niveau A au niveau D. Le niveau D est le plus avancé. Il vise à reproduire les caractéristiques réelles du fonctionnement et du pilotage des aéronefs, de sorte que toute la formation sur le type d’aéronef puisse être effectuée dans le simulateur, sans nécessiter de formation supplémentaire dans un aéronef physique, même si le pilote n’a pas d’expérience dans le type d’aéronef.

    Les simulateurs de niveau D reproduisent fidèlement les comportements des systèmes d’un aéronef. Il est ainsi possible d’utiliser les procédures normales, anormales et d’urgence propres à un type d’aéronef à des fins de formation et de vérification. Les équipages de conduite ont ainsi l’occasion de faire des erreurs, d’apprendre de ces erreurs et de refaire l’exercice jusqu’à ce qu’il soit exécuté de façon satisfaisante.

    TCNote de bas de page 48, la FAANote de bas de page 49 et l’AESANote de bas de page 50 ont tous trois publié des documents contenant les exigences de certification pour les différents niveaux de simulateurs de vol complets. Aucun de ces documents ne contient d’exigence de certification établissant que les simulateurs de niveau D doivent reproduire les changements en tangage possibles pendant l’exploitation de l’aéronef après que la roue avant a touché la piste. Les exigences relatives à la certification des simulateurs de vol au cours de la phase d’atterrissage portent sur la commande directionnelle, les caractéristiques de décélération, l’effet de tremblement de la cellule et la simulation précise des circuits d’aéronef.

    Les données recueillies au cours de l’enquête ont révélé que le simulateur de niveau D utilisé par l’équipage de conduite lors de sa dernière formation ne produisait pas de moment de cabrage lors de la sélection de l’inversion de poussée; les normes de certification ne l’exigeaient pas.

    1.18.6 Effets des inverseurs de poussée sur les aéronefs à réaction

    L’Airplane Flying Handbook de la FAA fournit aux pilotes des renseignements pertinents sur le pilotage des avions en général. Il fournit également des renseignements plus approfondis aux pilotes qui passent à des types d’aéronefs plus perfectionnés. Par exemple, on y trouve les renseignements suivants dans sa description spécifique du fonctionnement et des effets des inverseurs de poussée sur les aéronefs à réaction [traduction] :

    L’inversion de poussée est beaucoup plus efficace à une vitesse d’avion élevée qu’à une vitesse d’avion basse, et ce, pour deux raisons : la quantité nette d’inversion de poussée augmente avec la vitesse; et la puissance produite est plus élevée à de plus hautes vitesses en raison du plus grand taux de travail effectué. […]

    Lorsqu’il envisage le moment approprié pour appliquer l’inversion de poussée après le poser, le pilote doit se rappeler que certains avions ont tendance à se cabrer lorsque l’inversion est sélectionnée à l’atterrissage, et cet effet, surtout lorsqu’il est combiné à l’effet de cabrage produit par les déporteurs, peut amener l’avion à quitter le sol de nouveau momentanément. Avec de tels avions, l’appareil doit être solidement au sol, avec la roue avant en contact avec le sol, avant de sélectionner l’inversionNote de bas de page 51.

    1.18.7 Objets intrus

    Dans ce cas, un FOD serait tout objet situé sur le terrain de l’aéroport qui se trouve à un endroit inapproprié et qui, de ce fait, pourrait causer des dommages à des personnes, à de l’équipement ou à l’environnement. Les FOD peuvent être des pièces d’aéronef ou d’équipement d’entretien de l’aéroport, des ordures ou des outils utilisés par le personnel de maintenance des aéronefs ou d’entretien des aéroports.

    En 1998, Boeing a publié un articleNote de bas de page 52 estimant qu’à l’époque, les dommages causés par des incidents de FOD coûtaient environ 4 milliards de dollars par année à l’industrie mondiale de l’aviation en dommages à l’équipement et aux aéronefs, et en blessures aux personnes.

    L’un des cas les plus connus de FOD non détecté sur une piste causant des dommages à un aéronef est celui du vol 4590 d’Air France, qui a quitté l’aéroport Charles de Gaulle à Paris (France) le 25 juillet 2000Note de bas de page 53. Lors de cet événement, l’aéronef Concorde a roulé sur une lamelle d’acier inoxydable qui était tombée sur la piste lors du départ précédent d’un DC-10 de Continental Airlines et n’avait pas été détectée. Par conséquent, un pneu du train d’atterrissage principal gauche du Concorde a éclaté, et les débris du pneu qui ont ainsi été projetés ont rompu l’un des réservoirs de carburant de l’aéronef, ce qui a entraîné une fuite de carburant et un incendie. L’aéronef a poursuivi le décollage, mais s’est ensuite écrasé. Toutes les personnes à bord et 4 personnes au sol ont subi des blessures mortelles.

    1.18.7.1 Aéroport international de Vancouver

    L’aéroport international de Vancouver (CYVR) (Colombie-Britannique) est l’un des aéroports les plus achalandés du Canada. En 2018, il a accueilli 25,9 millions de passagers, et il y a eu 338 073 décollages et atterrissages. L’aéroport comprend 2 pistes principales est/ouest (08R/26L et 08L/26R) et la piste 13/31. La majorité des mouvements d’aéronefs utilisent les pistes est/ouest.

    En 2007, à la suite d’une évaluation interne des risques qui a permis de relever une lacune dans la capacité de l’aéroport de surveiller adéquatement l’état de la surface des 2 pistes principales, l’administration aéroportuaire a installé un système radar automatique au sol pour détecter les FOD sur les pistes.

    Un capteur est situé à environ 25 % de la distance en aval de chaque extrémité des 2 pistes. Chaque capteur radar balaie un arc comprenant le seuil de la piste jusqu’à environ 75 % de la longueur de la piste, et les capteurs sont mis en réseau pour donner un affichage commun dans le centre des opérations aéroportuaires. De plus, des caméras haute définition sont installées sur les pylônes qui soutiennent l’infrastructure de l’équipement radar. Ces caméras ont des capacités infrarouges qui leur permettent d’être utilisées la nuit.

    Lorsqu’un FOD est détecté sur la surface d’une piste, une alerte sonore et visuelle est produite et l’emplacement du FOD est affiché sur la carte de l’affichage du système. Parallèlement, le système braque la caméra appropriée sur l’objet non identifié afin que le personnel de l’aéroport puisse confirmer visuellement l’objet détecté sur la piste. Une fois que le FOD a été confirmé visuellement, l’événement est analysé selon une matrice de risque afin de déterminer s’il est nécessaire de fermer la piste et d’envoyer des membres du personnel inspecter la piste et s’occuper de l’objet.

    Il est important de noter que ce système automatisé de détection des FOD ne remplace pas les activités régulières de surveillance visuelle des FOD sur les pistes effectuées par le personnel de l’aéroport. Le système complète ces inspections visuelles et constitue une ressource supplémentaire à la disposition de l’administration aéroportuaire pour s’assurer que les pistes restent exemptes de FOD.

    Au moment de la rédaction du présent rapport, CYVR était le seul aéroport commercial au Canada à avoir installé un système automatisé de détection des FOD sur les pistes.

    1.18.8 Événements similaires

    Des données de divers organismes de sécurité aérienne ont été examinées afin de déterminer s’il y a eu des événements similaires à l’événement à l’étude. Deux cas semblables ont été relevés, le plus récent ayant eu lieu après cet événement en 2020, l’autre étant survenu en 1999.

    Le 28 novembre 2020, un Challenger 605 immatriculé à l’étranger a quitté l’aéroport international d’Antalya (LTAI), en Turquie, en vol nolisé commercial à destination de l’aéroport international de Moscou-Vnukovo (UUWW), en Russie. Après avoir décollé avec les volets à 20°, l’équipage de conduite a sélectionné les volets rentrés et a reçu par la suite un message d’avertissement de défaillance des volets, ceux‑ci étant immobilisés à 14°. L’équipage de conduite a choisi de retourner à LTAI. Au cours de la course à l’atterrissage, l’équipage a sélectionné l’inversion de poussée et l’aéronef s’est cabré jusqu’à un maximum de 16,7°, et la partie arrière du fuselage a heurté la piste. L’aéronef a subi des dommages au conduit d’évacuation de carburant à l’arrière, à l’ensemble du cône arrière et au carénage du réservoir de carburant d’empennage. Les données préliminaires du FDR indiquent qu’au moment du déploiement de l’inversion de poussée, le manche se situait entre 0° et 1° de cabré.

    Un 2e événement a fait l’objet d’une enquête de la FAA en 1999.

    Cet événement, qui est survenu le 6 mai 1999 à l’aéroport de Long Beach, en Californie (États-Unis), mettait en cause un Challenger 604. L’exposé narratif se lit comme suit [traduction] :

    Pendant la circulation au sol à grande vitesse pour un essai de maintenance, l’aéronef a pris l’air et le pilote a perdu la maîtrise de l’appareil lorsque l’aéronef a repris contact avec la piste. Le pilote avait signalé un problème de déploiement de l’inverseur de poussée lors d’une course à l’atterrissage précédente. Le personnel de maintenance avait demandé une circulation au sol à grande vitesse pour simuler l’anomalie. Pendant les procédures de circulation au sol, le circuit de l’inverseur de poussée fonctionnait correctement. Au cours de l’essai de circulation au sol à grande vitesse sur la piste 30, les inverseurs de poussée ont été déployés, ce qui a causé un cabrage, après quoi l’aéronef a pris l’air. Les inverseurs de poussée ont été rentrés automatiquement lorsque le train d’atterrissage a quitté le sol. Cette action a causé un piqué soudain de l’aéronef. Au contact de la piste, le train d’atterrissage avant s’est rompu. Le train d’atterrissage principal droit s’est également rompu lors de la perte de maîtrise de l’aéronef. L’aéronef a glissé hors de la piste, puis s’est immobilisé. L’aéronef a subi d’importants dommages, et le pilote et un technicien de maintenance ont subi des blessures mineuresNote de bas de page 54.

    Le pilote qui effectuait l’essai détenait une licence de pilote de ligne et comptait au total 16 500 heures de vol, dont environ 1000 heures de vol pour le type en question.

    1.19 Techniques d’enquête utiles ou efficaces

    Sans objet.

    2.0 Analyse

    2.1 Généralités

    L’équipage de conduite possédait les licences et les qualifications nécessaires pour effectuer le vol, conformément à la réglementation en vigueur, et rien n’indique que le rendement du commandant de bord ou du commandant en second était dégradé par des facteurs médicaux, pathologiques ou physiologiques. Cet événement a commencé par le mauvais fonctionnement du circuit des volets et s’est poursuivi en raison de la façon dont l’équipage de conduite a ensuite géré la procédure d’atterrissage anormale. Par conséquent, l’analyse portera sur les faits suivants :

    • le circuit des volets, y compris les exigences de maintenance du fabricant et ses améliorations des produits;
    • la façon dont l’équipage de conduite a effectué la procédure d’atterrissage anormale, y compris son modèle mental, le renforcement des connaissances et l’utilisation des listes de vérification;
    • les politiques de la compagnie relativement aux procédures anormales, le recours à un agent de bord, ainsi que les exposés à l’intention des passagers et de l’agent de bord;
    • la détection des objets intrus (FOD).

    2.2 Circuit des volets du Bombardier Challenger 605

    Lorsque l’équipage de conduite a sélectionné les volets à 20° en approche initiale vers l’aéroport international de Calgary (CYYC), l’arbre d’entraînement flexible de volet qui relie les 2 vérins de volet du panneau de volet intérieur gauche a connu une défaillance. Par conséquent, le message d’avertissement « FLAPS FAIL » a été affiché à l’équipage de conduite, après quoi l’équipage a effectué la procédure en cas de défaillance des volets prévue dans le manuel de référence rapide (QRH).

    À la suite de l’événement, l’examen détaillé de l’arbre d’entraînement flexible de volet défectueux réalisé par le Laboratoire d’ingénierie du BST a révélé 2 trous de perforation dans la gaine extérieure protectrice sous la plaque signalétique. Ces trous laissaient passer l’air dans la cavité avec les changements répétés d’altitude, introduisant des contaminants et de la condensation qui ont conduit à de la corrosion au fil du temps. La corrosion considérable des extrémités du noyau de l’arbre d’entraînement flexible a probablement aussi été favorisée par l’infiltration d’humidité dans la gaine de l’arbre d’entraînement, par l’interface entre l’arbre d’entraînement et le vérin de volet.

    Fait établi quant aux causes et aux facteurs contributifs

    L’humidité s’est infiltrée dans la gaine de l’arbre d’entraînement flexible de volet, probablement à travers des trous de perforation non détectés et par l’interface entre la gaine de l’arbre d’entraînement et le vérin de volet, ce qui a entraîné la corrosion et la défaillance subséquente de l’arbre d’entraînement intérieur.

    2.2.1 Exigences de maintenance du fabricant

    Les recommandations de maintenance du fabricant pour la flotte du Challenger 605 sont fondées sur une utilisation annuelle moyenne de 500 heures alors que la moyenne annuelle réelle de la flotte est de 275 heures. L’utilisation moyenne de l’aéronef à l’étude au cours de sa vie était conforme à la moyenne de la flotte. En raison de l’utilisation moindre, les activités de maintenance requises selon des intervalles fondés sur les heures de vol ou les cycles de vol étaient généralement effectuées au bout d’une période qui était environ 2 fois plus longue que si l’aéronef avait été utilisé comme le prévoyait le fabricant.

    En utilisant l’exemple de l’arbre d’entraînement flexible de volet défectueux, l’intervalle d’inspection détaillée est fixé à 2400 heures de vol. Si un aéronef effectue 500 heures de vol par année, ce sur quoi repose la recommandation, l’arbre d’entraînement flexible de volet ferait l’objet d’une inspection détaillée toutes les 4,8 années civiles. Toutefois, en se fondant sur le nombre d’heures de vol moyen annuel réel de la flotte (275 heures de vol), la même activité de maintenance ne serait effectuée que toutes les 8,7 années civiles.

    Fait établi quant aux causes et aux facteurs contributifs

    Comme l’utilisation annuelle réelle de l’aéronef à l’étude était environ la moitié de celle prévue par le fabricant, l’intervalle de temps entre les inspections de maintenance a augmenté. Par conséquent, la corrosion qui s’est formée n’a pas été détectée parce que l’arbre n’avait pas encore atteint l’intervalle de maintenance de 2400 heures de vol.

    2.2.2 Améliorations des produits du fabricant

    Tel qu’il a été mentionné précédemment, l’humidité s’est infiltrée dans la gaine de l’arbre d’entraînement flexible de volet, et la corrosion a donc pu commencer. Cette corrosion a finalement entraîné la défaillance de l’arbre d’entraînement intérieur.

    En 2007, après avoir déterminé que la contamination interne était un problème en service important pour les aéronefs de la série 100/200 du Canadair Regional Jet (CRJ), qui est fondée sur le Challenger, Bombardier a publié un bulletin de service visant à présenter un certain nombre de mesures de maintenance et d’améliorations des produits en vue d’accroître la fiabilité des arbres d’entraînement flexibles de volet et des vérins de volet. Comme le montrent les données présentées à la figure 3 (voir la section 1.18.1.1.1), à la suite de la mise en œuvre du bulletin de service de Bombardier, il y a eu une diminution des défaillances signalées dans le circuit des volets.

    Il n’existe pas de bulletin de service correspondant pour la série d’aéronefs Challenger (600, 601, 604, 605 et 650).

    Les arbres d’entraînement flexibles de volet ont évolué sous forme de plusieurs variantes dans la gamme de produits CRJ. Au total, il y a eu 4 changements ou remplacements de numéro de pièce des arbres d’entraînement à mesure que le produit était amélioré. Cependant, sur le Challenger 605, les numéros de pièce des arbres d’entraînement flexibles de volet sont les mêmes que ceux utilisés pour le Challenger 600 original des années 1980. L’expérience en service et les connaissances acquises en améliorant la gamme de produits CRJ n’ont pas été transférées à la gamme de produits des aéronefs d’entreprise.

    Un examen du Système Web de rapports de difficultés en service de Transports Canada (annexe C) a révélé 4 cas de problèmes en service liés aux arbres d’entraînement flexibles de volet de la série Challenger 600 sur une période de 34 ans (de 1986 à 2020).

    Au cours de la période de 4 ans allant de mai 2016 à mai 2020, le fabricant de l’aéronef a vendu au total 484 arbres d’entraînement flexibles de volet de remplacement aux clients et aux exploitants de la série Challenger 600. Cela démontre que les défauts nécessitant un remplacement de pièces sont relativement fréquents. Toutefois, comme les numéros de pièce des arbres d’entraînement n’ont pas changé au cours de l’évolution de la série d’aéronefs Challenger, on n’a pas pu déterminer sur quelle série d’aéronefs les diverses pièces étaient installées, quel était le défaut trouvé faisant qu’il fallait remplacer la pièce, ou encore quel était le temps de service de la pièce lorsqu’elle a dû être remplacée. Le 31 janvier 2020, 1014 aéronefs de la série Challenger 600 étaient en service dans le monde entier.

    Fait établi quant aux risques

    Si les fabricants mettent en œuvre des améliorations des produits sur une flotte d’aéronefs, mais ne les mettent pas en œuvre sur toutes les flottes semblables, il y a un risque que certains aéronefs ne profitent pas des améliorations, ce qui pourrait avoir une incidence sur leur fiabilité.

    2.3 Facteurs influant sur le rendement de l’équipage de conduite

    2.3.1 Modèle mental de l’équipage de conduite

    Les membres de l’équipage de conduite de l’événement à l’étude avaient travaillé et suivi une formation ensemble à de nombreuses reprises. Par conséquent, ils auraient inévitablement développé un modèle mental similaire quant à la façon dont l’aéronef réagirait en règle générale pendant les diverses phases ou les divers régimes de vol. Compte tenu de leur formation, les membres de l’équipage de conduite ont probablement développé un modèle mental d’une procédure d’atterrissage sans volets qui ne représentait pas les risques et les dangers réels en jeu. Leur modèle mental aurait plutôt été très semblable à celui d’un atterrissage normal en ce qui concerne le moment où les commandes de la gouverne de profondeur sont utilisées ainsi que le niveau de pression exercé.

    En ce qui concerne les atterrissages où les volets fonctionnent anormalement, l’ordre précis dans lequel les commandes de la gouverne de profondeur sont utilisées et le niveau de pression exercé sont déterminants pour éviter les dommages structurels ou un cabrage. Toutefois, les directives relatives à la sollicitation de la gouverne de profondeur ne sont pas incluses comme l’une des étapes en soi de la procédure; elles sont plutôt mentionnées dans des mises en garde, qui, dans l’événement à l’étude, n’ont pas été communiquées au pilote aux commandes (PF).

    Au moment de l’événement, l’équipage n’avait pas reçu de documents ou de mises en garde pertinentes les informant explicitement qu’ils devaient passer d’une sollicitation en douceur du manche à une pression ferme ou considérable pour éviter un cabrage lorsque l’inversion de poussée était appliquée pendant un atterrissage sans volets. En fait, la plupart des conseils de procédure étaient semblables à ceux que l’équipage suivait lors d’un atterrissage normal.

    La Federal Aviation Administration (FAA) des États-Unis explique clairement le risque que l’aéronef se cabre pendant un atterrissage sans volets dans l’Airplane Flying Handbook et dans son rapport publié à la suite de l’évaluation opérationnelle du Challenger 605. Ces documents fournissent également des renseignements sur la pression à exercer et l’ordre des sollicitations. L’Airplane Flying Handbook souligne l’importance pour le pilote de s’assurer que l’aéronef est solidement au sol et que la roue avant est en contact avec la piste avant d’appliquer l’inversion de poussée, et le rapport d’évaluation opérationnelle indique que le pilote sera tenu d’appliquer une sollicitation considérable au manche pour s’assurer que la roue avant reste sur la piste.

    Les mises en garde incluses dans le manuel de vol de l’aéronef (AFM) et le manuel d’exploitation de l’équipage de conduite (FCOM) de Bombardier expliquent clairement le risque de cabrage et le fait qu’il peut être contrôlé à l’aide des gouvernes de profondeur. Elles mentionnent également l’ordre dans lequel l’inversion de poussée devrait être sélectionnée, c’est-à-dire après que la roue avant a touché la piste, afin de réduire au maximum la tendance de l’aéronef à se cabrer. Cependant, les mises en garde fournissent très peu de renseignements sur la pression à exercer. Contrairement au rapport d’évaluation opérationnelle de la FAA, qui emploie le mot « significant » [considérable] pour décrire le niveau de pression à exercer, les mises en garde figurant dans l’AFM et le FCOM indiquent uniquement qu’il faut s’assurer que la gouverne de profondeur en piqué est appliquée.

    La mise en garde qui figure dans le QRH, qui est le guide de référence utilisé par les équipages en cas de défaillance des volets, fournit également des conseils sur l’ordre des étapes, mais très peu de renseignements sur la pression à exercer. Contrairement à l’AFM et au FCOM, cette mise en garde n’explique pas explicitement le risque de cabrage.

    Fait établi quant aux risques

    Si les procédures de l’aéronef ne fournissent pas de renseignements explicites sur les sollicitations inhabituelles des commandes de vol qui sont requises pendant des procédures anormales, les équipages de conduite pourraient appliquer des sollicitations insuffisantes ou inappropriées des commandes de vol, augmentant ainsi le risque d’un résultat négatif.

    2.3.2 Renforcement des connaissances

    L’équipage de conduite de l’événement à l’étude avait suivi une formation périodique, y compris des exercices d’atterrissage sans volets dans un simulateur de niveau D, 2 semaines avant l’événement. Étant donné que la formation était récente et que les exercices de formation à l’atterrissage sans volets dans le simulateur s’étaient déroulés sans incident et avec succès, l’équipage a peut-être eu tendance à en conserver le souvenir d’un événement anodin plutôt que de se rappeler d’autres discussions, procédures, expériences ou anecdotes concernant l’atterrissage sans volets.

    Un examen du programme de formation de l’équipage de conduite a permis de déterminer qu’il répondait à toutes les exigences réglementaires. Les 2 membres de l’équipage de conduite avaient reçu une qualification qui attestait leur compétence lors des exercices d’atterrissage sans volets dans le cadre de leur dernière séance de formation périodique.

    Toutefois, le simulateur de niveau D ne reproduit pas le comportement de l’aéronef Challenger 605 ni les difficultés de pilotage qui lui sont associées pendant un atterrissage sans volets où les inverseurs de poussée sont déployés. Le simulateur de vol de niveau D utilisé pour la formation la plus récente de l’équipage de conduite respectait les exigences de certification alors en vigueur au Canada, aux États‑Unis et en Europe. Il reproduit le pilotage et le comportement de l’aéronef au cours d’un atterrissage sans volets jusqu’au moment où la roue avant touche la piste. Une fois que la roue avant touche la piste, le simulateur n’est plus tenu de reproduire le comportement de l’aéronef dans tous les axes. Autrement dit, le simulateur de vol n’a pas à reproduire les caractéristiques de tangage qui sont possibles lors du déploiement des inverseurs de poussée.

    Aux fins de la certification des simulateurs de vol pour la phase d’atterrissage, l’accent est mis sur la commande directionnelle, les caractéristiques de décélération, l’effet de tremblement de la cellule et la simulation précise des circuits d’aéronef.

    L’expérience de l’équipage en formation sur simulateur a renforcé les connaissances, les règles et les compétences permettant de prévoir que l’exécution des étapes du QRH dans l’ordre et l’application d’un certain niveau de commande à la gouverne de profondeur en piqué au cours d’un atterrissage sans volets conduiraient à un atterrissage réussi.

    La confiance acquise par l’équipage de conduite à la suite de sa formation récente a renforcé le modèle mental et l’attente que les atterrissages sans volets peuvent être facilement gérés, ce qui a probablement réduit la probabilité qu’il réévalue les dangers en cause.

    • Les personnes ont besoin de renseignements représentatifs et d’expérience pratique pour acquérir les connaissances, les règles et les compétences appropriées nécessaires à l’exécution de leurs tâches. Cela est particulièrement important lorsque les tâches sont exécutées en situation de stress. À mesure qu’une personne s’exerce à une tâche, les actions motrices créent une mémoire motrice, et la personne développe les compétences requises. Pendant ce processus, la réalisation de chaque étape de la séquence maîtrisée entraîne automatiquement celle de l’étape suivante de la séquence en exigeant un minimum de ressources attentionnelles. Par exemple, les équipages de conduite devraient être en mesure d’effectuer un atterrissage normal sans avoir à consacrer trop de ressources attentionnelles à la séquence des étapes en cause.

    Fait établi quant aux causes et aux facteurs contributifs

    Le simulateur de vol Challenger 605 utilisé pour la formation périodique ne représentait pas avec précision les caractéristiques de comportement de l’aéronef sans volets au moment du déploiement des inverseurs de poussée, ce qui n’était d’ailleurs pas requis pour la certification. Par conséquent, l’équipage de conduite n’était pas convenablement préparé pour empêcher le cabrage qui s’est produit lors du déploiement des inverseurs de poussée, ou pour s’en rétablir.

    2.3.3 Utilisation des listes de vérification

    L’utilisation efficace des listes de vérification contribue grandement à l’atténuation des risques qui deviennent apparents au cours de l’exploitation d’un aéronef. Les listes de vérification, et en particulier le QRH, existent pour fournir à l’équipage de conduite des renseignements importants et ponctuels dans une forme abrégée afin que des mesures cruciales puissent être prises rapidement et correctement, de façon à réduire le risque d’exploiter un aéronef dans un état anormal.

    Dans l’événement à l’étude, alors que le pilote surveillant (PM) exécutait la procédure du QRH pour le message d’avertissement sur la défaillance des volets, il n’a énoncé de vive voix au PF aucune des mises en garde incluses dans le corps de la procédure. Il les a probablement lues alors qu’il traitait mentalement l’information.

    La mise en garde entre les étapes 12 et 13 attire l’attention sur le fait que le système d’automanette ne passera pas au mode atterrissage et ne retardera pas les leviers de poussée à 50 pieds au-dessus du sol. Alors que l’aéronef était en approche finale vers CYYC, le PF s’est souvenu de ce fait (probablement en raison de son expérience de formation récente), l’a mentionné au PM et a désactivé le système d’automanette, empêchant ainsi une condition indésirable de poussée du moteur.

    Plus loin dans la liste de vérification en cas de défaillance des volets, entre les étapes 14 et 15, on trouve 2 mises en garde. La première porte sur l’importance de la technique d’atterrissage et de la possibilité de générer des charges de train d’atterrissage avant suffisantes pour endommager l’aéronef; la deuxième porte sur l’utilisation de l’inversion de poussée et sur la sollicitation vers l’avant de la gouverne de profondeur.

    Ces mises en garde alertent l’équipage de conduite précisément à propos du danger qui s’est présenté dans l’événement à l’étude. Comme le PM n’a pas lu ces mises en garde à haute voix pendant qu’il exécutait la liste de vérification, le PF devait se fier à la formation périodique qu’il avait récemment reçue sur simulateur de vol pour mener à bien la procédure anormale.

    Fait établi quant aux causes et aux facteurs contributifs

    Le PM n’a pas lu de vive voix les mises en garde incluses dans la liste de vérification en cas de défaillance des volets au PF pendant l’exécution de la procédure du QRH. Par conséquent, des renseignements essentiels à l’exploitation sécuritaire de l’aéronef n’ont pas été portés à l’attention du PF.

    2.3.4 Performance à l’atterrissage

    L’équipage de conduite effectuait souvent la procédure d’atterrissage normale, et la façon dont il s’était exercé aux procédures d’atterrissage sans volets pendant sa formation était similaire à la procédure d’atterrissage normale.

    Dans l’événement à l’étude, les actions du PF étaient conformes à la séquence des étapes d’un atterrissage normal. Toutefois, en raison de l’application d’une commande vers l’avant de 2° seulement à la gouverne de profondeur, puis de la sélection de l’inversion de poussée maximale (puissance élevée), le moteur a accéléré, l’aéronef s’est cabré et le train avant a quitté la piste.

    Fait établi quant aux causes et aux facteurs contributifs

    Une pression insuffisante a été exercée sur le manche pour maintenir le train avant sur la piste lors de l’utilisation de l’inversion de poussée maximale; par conséquent, l’aéronef s’est cabré, la partie arrière du fuselage est entrée en contact avec la piste et l’aéronef est passé à un état sans poids sur les roues.

    Il est probable que la soudaine augmentation inattendue de l’assiette en tangage, qui ne correspondait pas au modèle mental de l’équipage, a considérablement augmenté la charge de travail de l’équipage et a réduit sa capacité cognitive et physique à effectuer des sollicitations de rétablissement rapides et sûres.

    Fait établi quant aux causes et aux facteurs contributifs

    Lorsque la roue principale gauche a quitté la surface de la piste et que l’angle d’attaque a atteint 28,9°, le pousseur de manche s’est activé et a commandé un piqué rapide. En conséquence de ce piqué rapide, la section avant de l’aéronef a été endommagée lorsque la roue avant est entrée en contact avec la piste.

    2.4 Politique de la compagnie

    2.4.1 Procédures anormales

    Après que l’équipage de conduite a terminé la procédure du QRH au cours de l’approche vers CYYC, le contrôle de la circulation aérienne (ATC) a demandé si l’équipage souhaitait mettre les services de sauvetage et lutte contre les incendies d’aéronefs (SLIA) en état d’alerte. Le PF a décidé de ne pas faire mettre les services SLIA en état d’alerte pour l’atterrissage même s’il effectuait un atterrissage non standard. Un examen du manuel d’exploitation de la compagnie et des procédures d’utilisation normalisées (SOP) de l’aéronef n’a révélé aucune directive sur les circonstances justifiant de demander que les services SLIA soient mis en état d’alerte.

    Fait établi quant aux risques

    Si les services SLIA ne sont pas mis en état d’alerte lorsqu’un équipage de conduite exécute une procédure anormale, le risque d’une intervention retardée augmente si l’aide des services SLIA est ensuite requise.

    2.4.2 Rôles et responsabilités des membres d’équipage

    La compagnie ne disposait pas de politique officielle pour déterminer quand faire appel à un agent de bord ou quels sont les rôles et les responsabilités de l’agent de bord et comment il pourrait servir de ressource pour l’équipage de conduite dans le cours normal des opérations. Comme on n'affectait qu'occasionnellement un agent de bord à l'équipage du Challenger 605, il est probable que l’équipage de conduite s’était habitué à son absence; l'équipage n’avait donc pas l’habitude de faire appel à l'agent de bord lorsqu'il y en avait un. En l’absence de politiques définies dans le manuel d’exploitation de la compagnie ou dans les SOP de l’aéronef, il y avait probablement un certain niveau d’ambiguïté quant au moment et à la façon dont l’agent de bord devait servir de ressource à l’équipage de conduite dans des situations anormales et d’urgence.

    Les membres de l’équipage de conduite ne croyaient pas que l’état de défaillance des volets représentait une situation urgente et n’ont pas informé les passagers ou l’agent de bord de l’état anormal de l’aéronef ou de la configuration d’atterrissage différente. Par conséquent, ces derniers ont perdu l’occasion de se préparer (mentalement et physiquement) au cas où la situation se serait aggravée.

    Fait établi quant aux risques

    Si les compagnies n’ont pas de politiques en place qui définissent les rôles et les responsabilités de tous les membres d’équipage à bord d’un aéronef et si les passagers et les agents de bord ne sont pas informés d’un état anormal d’aéronef, il y a un risque accru que les passagers et la cabine ne soient pas adéquatement préparés en cas d’urgence.

    2.5 Détection des objets intrus

    L’administration aéroportuaire de Calgary effectuait une surveillance des pistes et des vérifications de l’état conformément aux normes requises au moment de l’événement. Toutefois, il n’y avait pas de système automatisé ou supplémentaire de détection des FOD installé à l’aéroport en complément des inspections physiques, et la réglementation n’exigeait pas de tel système. L’équipage de conduite ne savait pas que la partie arrière du fuselage de l’aéronef avait heurté la piste avec force pendant le cabrage ou que le conduit d’évacuation de carburant à l’arrière du fuselage s’était rompu et était tombé sur la piste.

    Cette pièce de l’aéronef est restée sur la piste sans être détectée pendant 5 mouvements d’aéronefs. Ce sont les pilotes d’un 6e aéronef qui ont observé la pièce sur la piste et l’ont signalée à l’ATC. L’ATC a alors informé l’administration aéroportuaire de l’emplacement de la pièce sur la piste, et les débris ont été enlevés. Entre-temps, 1 autre aéronef a atterri sur la piste. Au total, 7 aéronefs ont utilisé la piste pour décoller ou atterrir avant que le FOD ne soit retiré de la surface de la piste.

    Fait établi quant aux risques

    Si les aéroports ne se fient que sur des inspections physiques des zones de mouvement des aéronefs, il y a un risque que des FOD ne soient pas repérés et enlevés rapidement, ce qui pourrait entraîner des dommages à l’équipement et aux aéronefs, et des blessures aux personnes.

    3.0 Faits établis

    3.1 Faits établis quant aux causes et aux facteurs contributifs

    Il s’agit des conditions, actes ou lacunes de sécurité qui ont causé l’événement ou y ont contribué.

    1. L’humidité s’est infiltrée dans la gaine d’un arbre d’entraînement flexible de volet, probablement à travers des trous de perforation non détectés et par l’interface entre la gaine de l’arbre d’entraînement et le vérin de volet, ce qui a entraîné la corrosion et la défaillance subséquente de l’arbre d’entraînement intérieur.
    2. Comme l’utilisation annuelle réelle de l’aéronef à l’étude était environ la moitié de celle prévue par le fabricant, l’intervalle de temps entre les inspections de maintenance a augmenté. Par conséquent, la corrosion qui s’est formée n’a pas été détectée parce que l’arbre n’avait pas encore atteint l’intervalle de maintenance de 2400 heures de vol.
    3. Le simulateur de vol Challenger 605 utilisé pour la formation périodique ne représentait pas avec précision les caractéristiques de comportement de l’aéronef sans volets au moment du déploiement des inverseurs de poussée, ce qui n’était d’ailleurs pas requis pour la certification. Par conséquent, l’équipage de conduite n’était pas convenablement préparé pour empêcher le cabrage qui s’est produit lors du déploiement des inverseurs de poussée, ou pour s’en rétablir.
    4. Le pilote surveillant n’a pas lu de vive voix les mises en garde incluses dans la liste de vérification en cas de défaillance des volets au pilote aux commandes pendant l’exécution de la procédure du guide de référence rapide. Par conséquent, des renseignements essentiels à l’exploitation sécuritaire de l’aéronef n’ont pas été portés à l’attention du pilote surveillant.
    5. Une pression insuffisante a été exercée sur le manche pour maintenir le train avant sur la piste lors de l’utilisation de l’inversion de poussée maximale; par conséquent, l’aéronef s’est cabré, la partie arrière du fuselage est entrée en contact avec la piste et l’aéronef est passé à un état sans poids sur les roues.
    6. Lorsque la roue principale gauche a quitté la surface de la piste et que l’angle d’attaque a atteint 28,9°, le pousseur de manche s’est activé et a commandé un piqué rapide. En conséquence de ce piqué rapide, la section avant de l’aéronef a été endommagée lorsque la roue avant est entrée en contact avec la piste.

    3.2 Faits établis quant aux risques

    Il s’agit des conditions, des actes dangereux, ou des lacunes de sécurité qui n’ont pas été un facteur dans cet événement, mais qui pourraient avoir des conséquences néfastes lors de futurs événements.

    1. Si les fabricants mettent en œuvre des améliorations des produits sur une flotte d’aéronefs, mais ne les mettent pas en œuvre sur toutes les flottes semblables, il y a un risque que certains aéronefs ne profitent pas des améliorations, ce qui pourrait avoir une incidence sur leur fiabilité.
    2. Si les procédures de l’aéronef ne fournissent pas de renseignements explicites sur les sollicitations inhabituelles des commandes de vol qui sont requises pendant des procédures anormales, les équipages de conduite pourraient appliquer des sollicitations insuffisantes ou inappropriées des commandes de vol, augmentant ainsi le risque d’un résultat négatif.
    3. Si les services de sauvetage et lutte contre les incendies d’aéronefs ne sont pas mis en état d’alerte lorsqu’un équipage de conduite exécute une procédure anormale, le risque d’une intervention retardée augmente si l’aide des services de sauvetage et lutte contre les incendies d’aéronefs est ensuite requise.
    4. Si les compagnies n’ont pas de politiques en place qui définissent les rôles et les responsabilités de tous les membres d’équipage à bord d’un aéronef et si les passagers et les agents de bord ne sont pas informés d’un état anormal d’aéronef, il y a un risque accru que les passagers et la cabine ne soient pas adéquatement préparés en cas d’urgence.
    5. Si les aéroports ne se fient que sur des inspections physiques des zones de mouvement des aéronefs, il y a un risque que des objets intrus ne soient pas repérés et enlevés rapidement, ce qui pourrait entraîner des dommages à l’équipement et aux aéronefs, et des blessures aux personnes.

    4.0 Mesures de sécurité

    4.1 Mesures de sécurité prises

    4.1.1 Chemin de fer Canadien Pacifique

    Au cours du processus de réparation de l’aéronef, le fournisseur de services de maintenance a effectué une inspection détaillée des arbres d’entraînement flexibles de volet restants pour vérifier leur état et leur fonctionnement. Aucun autre défaut n’a été relevé.

    À la suite de l’événement, le Chemin de fer Canadien Pacifique a comparé diverses procédures du manuel de vol (AFM) et du manuel de référence rapide (QRH) en ce qui concerne les situations d’atterrissage avec volets réduits. À la suite de cet examen, certaines procédures internes ont été modifiées à la lumière des différences constatées entre les mises en garde et les avertissements publiés dans l’AFM et le QRH.

    4.1.2 Bureau de la sécurité des transports du Canada

    Le 29 juillet 2020, le BST a adressé la lettre d’information sur la sécurité aérienne A20W0016-D1-L1 à Bombardier pour souligner l’intervalle d’inspection du circuit des volets de la série Challenger 605 et les améliorations des produits à l’ensemble de la flotte de la série Challenger CL60.

    4.1.3 Bombardier Inc.

    En janvier 2021, en réponse à la lettre d’information sur la sécurité aérienne du BST, Bombardier a publié une révision provisoire de la procédure en cas de défaillance des volets prévue dans son QRH, développant la mise en garde après l’étape 14.

    Le présent rapport conclut l'enquête du Bureau de la sécurité des transports du Canada sur cet événement. Le Bureau a autorisé la publication de ce rapport le . Il a été officiellement publié le .

    Annexes

    Annexe A – Liste de vérification en cas de défaillance des volets dans le manuel de référence rapide du Challenger 605

    Appendix A1. Liste de vérification en cas de défaillance des volets dans le manuel de référence rapide du Challenger 605
    Image
    Liste de vérification en cas de défaillance  des volets dans le manuel de référence rapide du Challenger 605
    Appendix A2. Liste de vérification en cas de défaillance des volets dans le manuel de référence rapide du Challenger 605
    Image
    Liste de vérification en cas de défaillance  des volets dans le manuel de référence rapide du Challenger 605

    Source : Bombardier Inc., Bombardier Challenger 605 Quick Reference Handbook, Non-normal procedures, volume 2, révision 49 (19 novembre 2018).

    Annexe B – Aperçu de l’atterrissage à l’étude selon les données de vol de l’enregistreur

    Appendix B. Aperçu de l’atterrissage à l’étude selon les données de vol de l’enregistreur
    Image
    Aperçu de l’atterrissage à l’étude selon  les données de vol de l’enregistreur

    Source : BST

    Annexe C – Rapports de difficultés en service de Transports Canada concernant les arbres d’entraînement flexibles de volet sur les aéronefs de la série Challenger

    1986061700052 – Challenger 600 (CL600 1A11)

    Numéro de pièce : 2022264-6 (600-93000-61)

    Description du problème :

    [traduction] LES VOLETS ONT CONNU UNE DÉFAILLANCE À 43 DEGRÉS. DES TENTATIVES ONT ÉTÉ FAITES POUR RÉINITIALISER LE CIRCUIT DES VOLETS CONFORMÉMENT AU MANUEL DE MAINTENANCE DE CANADAIR; TOUTES ONT ÉCHOUÉ. LA TENSION INDIQUAIT CHCD AU BLOC D’ENTRAÎNEMENT ET A ÉTÉ JUGÉE EXACTE. LE BLOC D’ENTRAÎNEMENT A ÉTÉ RETIRÉ ET ON A TENTÉ D’ACTIONNER LES VOLETS MANUELLEMENT. À CE MOMENT-LÀ, ON A CONSTATÉ QUE L’ARBRE D’ENTRAÎNEMENT ÉTAIT GRIPPÉ. L’ARBRE A ÉTÉ ENLEVÉ ET REMPLACÉ. L’AÉRONEF A ÉTÉ REMIS EN SERVICE. LA CAUSE PROBABLE ÉTAIT UN MANQUE DE LUBRIFICATION. À L’HEURE ACTUELLE, IL N’Y A PAS D’EXIGENCE DE LUBRIFIER LES ARBRES FLEXIBLES.

    19900121300118 – Challenger 600 (CL600 1A11)

    Numéro de pièce : 2022264-10 (600-63000-69)

    Description du problème :

    [traduction] ON A CONSTATÉ QUE LA GAINE DU CÂBLE DE FREIN DE VOLET EXTÉRIEUR ÉTAIT LÂCHE AU RACCORD D’EXTRÉMITÉ. ON A REMPLACÉ LE CÂBLE.

    2001091100185 – Challenger 604 (CL600 2B16)

    Numéro de pièce : 2022264-8 (600-93000-65)

    Description du problème :

    [traduction] PENDANT LA VÉRIFICATION OPÉRATIONNELLE DES VOLETS, UN MESSAGE DE DÉFAILLANCE DES VOLETS S’EST AFFICHÉ SUR L’EICAS. L’INSPECTION PHYSIQUE A RÉVÉLÉ QUE LE VOLET EXTÉRIEUR DROIT ÉTAIT EN POSITION ABAISSÉE À 45 DEGRÉS ET QUE LES AUTRES SEGMENTS DE VOLET ÉTAIENT PROCHES DU CRAN À 30 DEGRÉS. L’ENQUÊTE A DÉTERMINÉ QUE L’EXTRÉMITÉ DU SUAGE NR8 DE L’ARBRE DE VOLET DROIT ÉTAIT SORTIE DE LA GAINE DE L’ARBRE FLEXIBLE, CE QUI AVAIT FAIT SORTIR LE CÂBLE DE L’ARBRE DE VOLET DU VÉRIN DE VOLET. LA BAGUE D’EXTRÉMITÉ NE SEMBLE PAS AVOIR ÉTÉ SERTIE.

    2020020227014 – Challenger 605 (CL600-2B16)

    Numéro de pièce : 2022264-7 (600-93000-63)

    Description du problème :

    [traduction] MESSAGE DE DÉFAILLANCE DES VOLETS REÇU EN APPROCHE. PROCÉDURE D’ATTERRISSAGE SANS VOLETS EXÉCUTÉE CONFORMÉMENT AU QRH. L’ENQUÊTE DE MAINTENANCE A RÉVÉLÉ QUE L’ARBRE D’ENTRAÎNEMENT FLEXIBLE DE VOLET SUR L’AILE INTÉRIEURE GAUCHE S’ÉTAIT ROMPU AU RACCORD EMBOUTI EXTÉRIEUR. L’INSPECTION DE L’ARBRE D’ENTRAÎNEMENT FLEXIBLE DE VOLET RÉVÈLE QU’IL EST SEC ET MANQUE DE LUBRIFICATION ET QU’IL AFFICHE DES SIGNES DE CORROSION CONSIDÉRABLE, SURTOUT AU POINT DE DÉFAILLANCE. LES TLMC [LIMITES DE TEMPS ET VÉRIFICATIONS DE MAINTENANCE] AFFICHENT UN ÉVÉNEMENT DE MAINTENANCE CONCERNANT L’ARBRE D’ENTRAÎNEMENT FLEXIBLE DU CIRCUIT DES VOLETS, L’ARTICLE TLMC 27-50-00-202 (27-53-07-220-801), INSPECTION DÉTAILLÉE DE L’ENSEMBLE DE L’ARBRE D’ENTRAÎNEMENT FLEXIBLE. CET ÉVÉNEMENT A UN SEUIL DE 2400 HEURES DE VOL ET UNE EXIGENCE DE RÉPÉTITION DE 2400 HEURES DE VOL. HEURES TOTALES DE VOL DE L’AÉRONEF AU MOMENT DE LA DÉFAILLANCE : 1699,3.

    Annexe D – Procédure d’atterrissage à arrêt complet du Bombardier Challenger 605

    Appendix D1. Procédure d’atterrissage à arrêt complet du Bombardier Challenger 605
    Image
    Procédure d’atterrissage à  arrêt complet du Bombardier Challenger 605
    Appendix D2. Procédure d’atterrissage à arrêt complet du Bombardier Challenger 605
    Image
    Procédure d’atterrissage à  arrêt complet du Bombardier Challenger 605

    Source : Bombardier Inc.

    Annexe E – Fiche de tâches de maintenance no 000-27-580-103 du Bombardier CRJ

    Appendix E. Fiche de tâches de maintenance no 000-27-580-103 du Bombardier CRJ
    Image
    Fiche de tâches de maintenance no 000-27-580-103 du Bombardier  CRJ

    Source : Bombardier Inc., avec annotations du BST